🇳🇴 🇬🇧 🇩🇪 🇨🇿 🇫🇮

Meteor Burfjordin yllä 2024-10-07 20:49:50 UTC

KML-tiedosto  |  Interaktiivinen kartta

Kartta näyttää meteorin suuntahavainnot. Vaaleammat viivat näyttävät suunnat havaintoasemilta meteorin ilmestyessä, ja tummemmat viivat näyttävät, missä se viimeksi nähtiin. Sininen nuoli näyttää meteorin näkyvän lennon.

static map
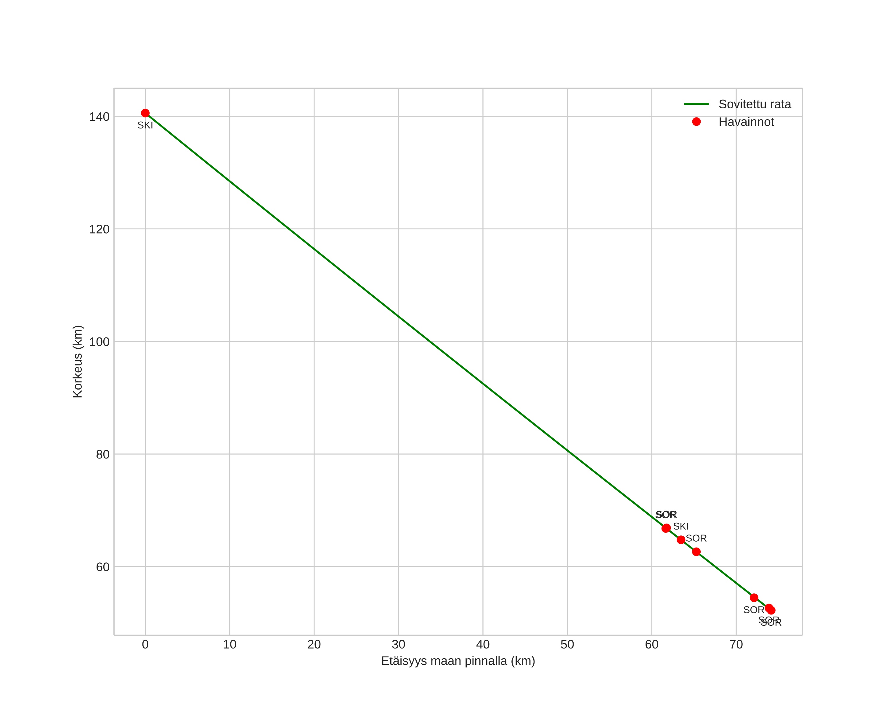
height profile
Meteorin ilmakehärata:
Alkukorkeus: 133,3 km
Loppukorkeus: 52,7 km
Alkupiste: 69,704N 20,025E
Loppupiste: 69,930N 21,764E
Suunta: 68,5°
Kallistuskulma: 48,5°
Tulonopeus: 15,0 km/s
Radiantin R,A,: 19:32 (293,1°)
Radiantin Dekl,: 30,1°
Meteoriparvi: Sporadinen
Meteoroidin rataelementit:
Perihelietäisyys: 0,993 AU
Eksentrisyys: 0,536
Inklinaatio: 12,5°
Nousevan solmun pituus: 194,7°
Perihelin argumentti: 191,1°
Keskianomalia: 357,2°
Epookki: 2024 OCT 07 20:49:50
orbit plot

Ei-interaktiivinen kuvaaja | Interaktiivinen kuvaaja

position vs time
speed and acceleration