🇳🇴 🇬🇧 🇩🇪 🇨🇿 🇫🇮

Meteor, poloha: Setermoen 2024-10-08 00:24:19 UTC

Soubor KML  |  InteraktivnĂ­ mapa

Mapa zobrazuje dráhy meteoru. Světlejší čáry ukazují směry od pozorovacích stanic při objevení se meteoru a tmavší čáry, kde byl naposledy viděn. Modrá šipka značí viditelnou dráhu meteoru.

static map
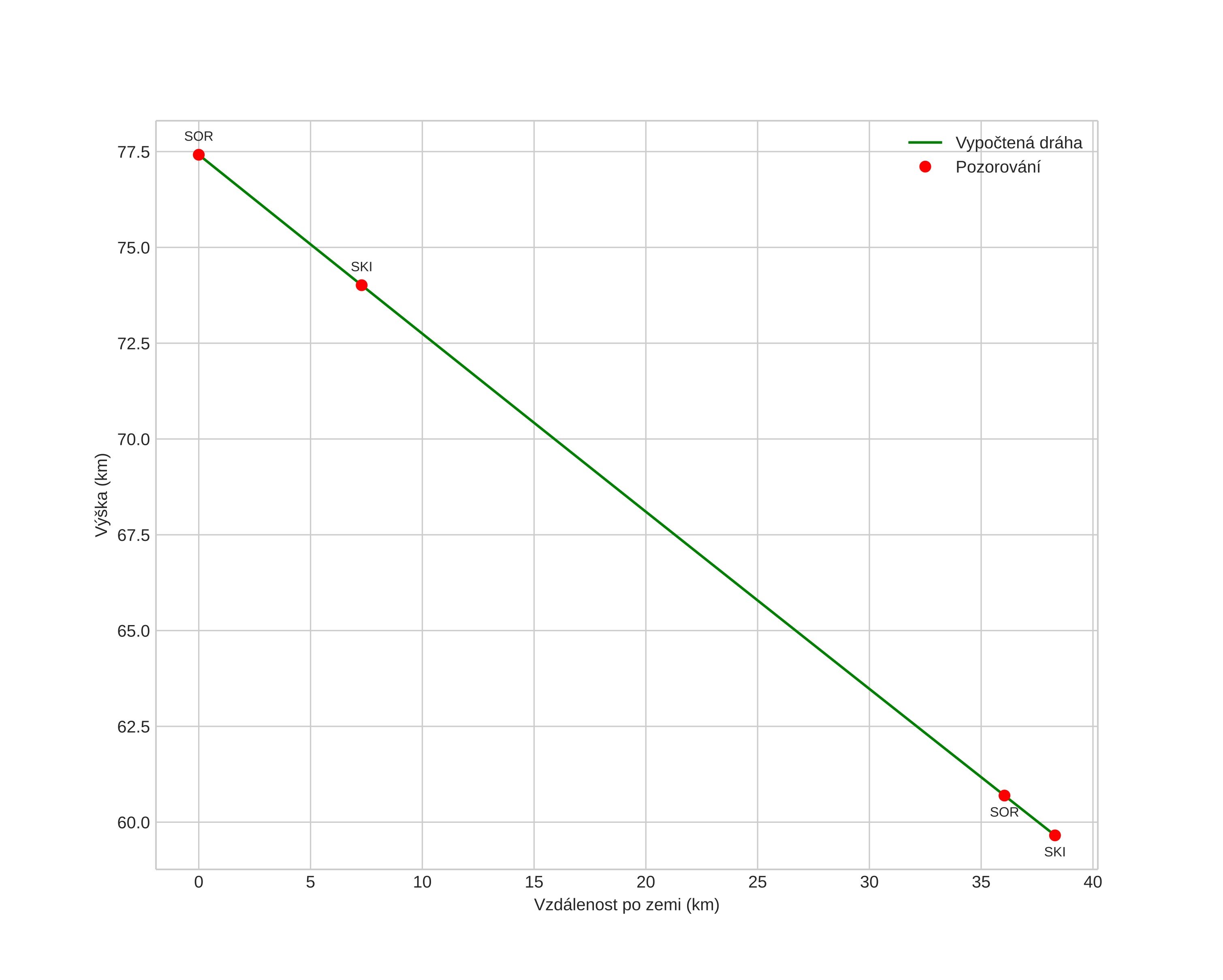
height profile
Atmosférická dráha meteoru:
Počáteční výška: 77,5 km
Konečná výška: 59,6 km
Počáteční poloha: 67,903N 18,328E
Konečná poloha: 68,152N 18,972E
Směr: 43,8°
Sklon: 24,9°
VstupnĂ­ rychlost: 19,1 km/s
Rektascenze radiantu: 23:57 (359,5°)
Deklinace radiantu: 1,0°
MeteorickĂ˝ roj: sporadickĂ˝
Elementy dráhy meteoroidu:
Vzdálenost v periheliu: 0,775 AU
Excentricita: 0,666
Sklon dráhy: 0,5°
Délka vzestupného uzlu: 194,8°
Argument perihelia: 244,0°
Střední anomálie: 348,6°
Epocha: 2024 OCT 08 00:24:19
orbit plot

NeinteraktivnĂ­ graf | InteraktivnĂ­ graf

position vs time
speed and acceleration