🇳🇴 🇬🇧 🇩🇪 🇨🇿 🇫🇮

Meteor Setermoenin yllä 2024-10-08 00:24:19 UTC

KML-tiedosto  |  Interaktiivinen kartta

Kartta näyttää meteorin suuntahavainnot. Vaaleammat viivat näyttävät suunnat havaintoasemilta meteorin ilmestyessä, ja tummemmat viivat näyttävät, missä se viimeksi nähtiin. Sininen nuoli näyttää meteorin näkyvän lennon.

static map
height profile
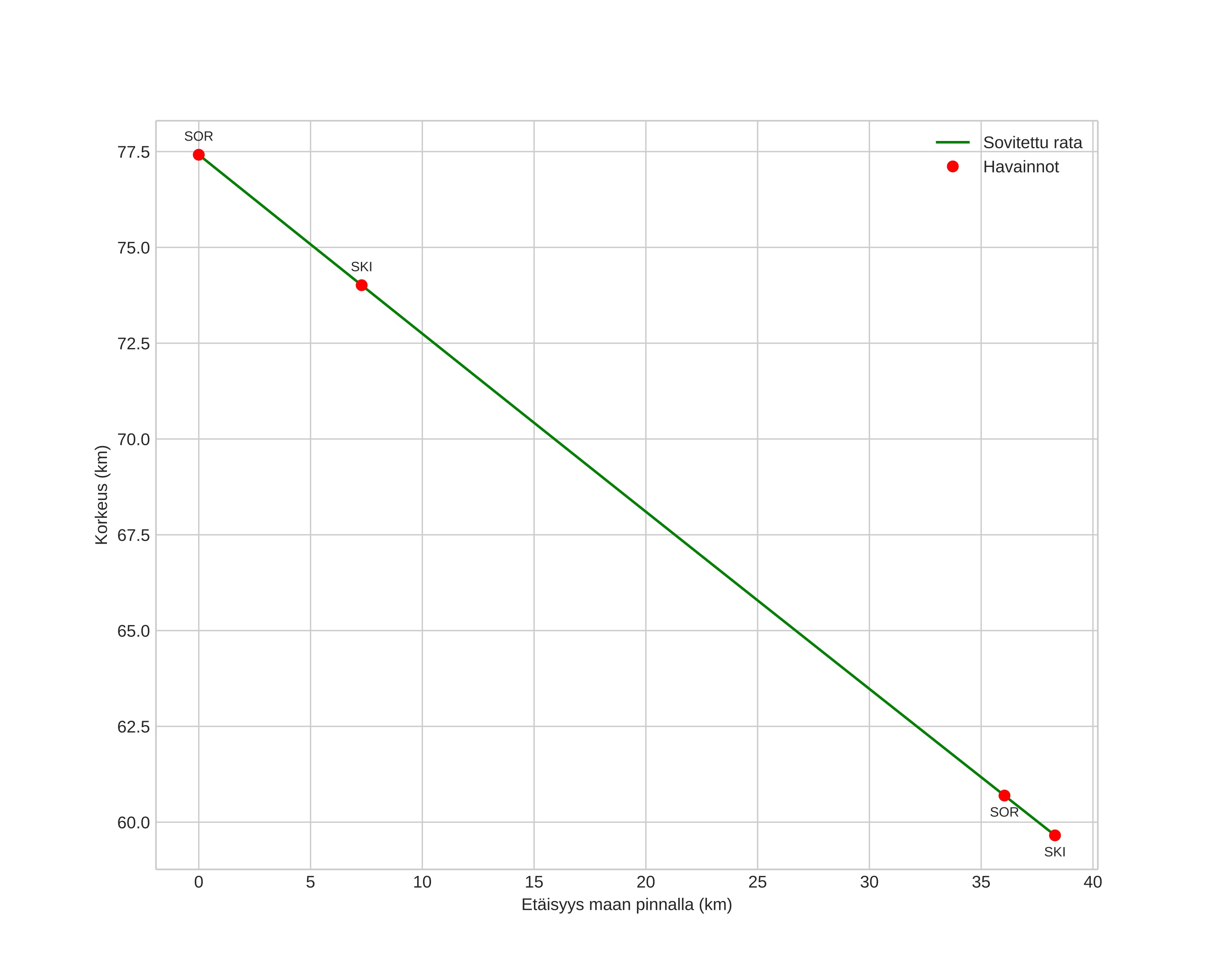
Meteorin ilmakehärata:
Alkukorkeus: 77,5 km
Loppukorkeus: 59,6 km
Alkupiste: 67,903N 18,328E
Loppupiste: 68,152N 18,972E
Suunta: 43,8°
Kallistuskulma: 24,9°
Tulonopeus: 19,1 km/s
Radiantin R,A,: 23:57 (359,5°)
Radiantin Dekl,: 1,0°
Meteoriparvi: Sporadinen
Meteoroidin rataelementit:
Perihelietäisyys: 0,775 AU
Eksentrisyys: 0,666
Inklinaatio: 0,5°
Nousevan solmun pituus: 194,8°
Perihelin argumentti: 244,0°
Keskianomalia: 348,6°
Epookki: 2024 OCT 08 00:24:19
orbit plot

Ei-interaktiivinen kuvaaja | Interaktiivinen kuvaaja

position vs time
speed and acceleration