🇳🇴 🇬🇧 🇩🇪 🇨🇿 🇫🇮

Meteor, poloha: Hopen 2024-10-12 03:00:33 UTC

Soubor KML  |  InteraktivnĂ­ mapa

Mapa zobrazuje dráhy meteoru. Světlejší čáry ukazují směry od pozorovacích stanic při objevení se meteoru a tmavší čáry, kde byl naposledy viděn. Modrá šipka značí viditelnou dráhu meteoru.

static map
height profile
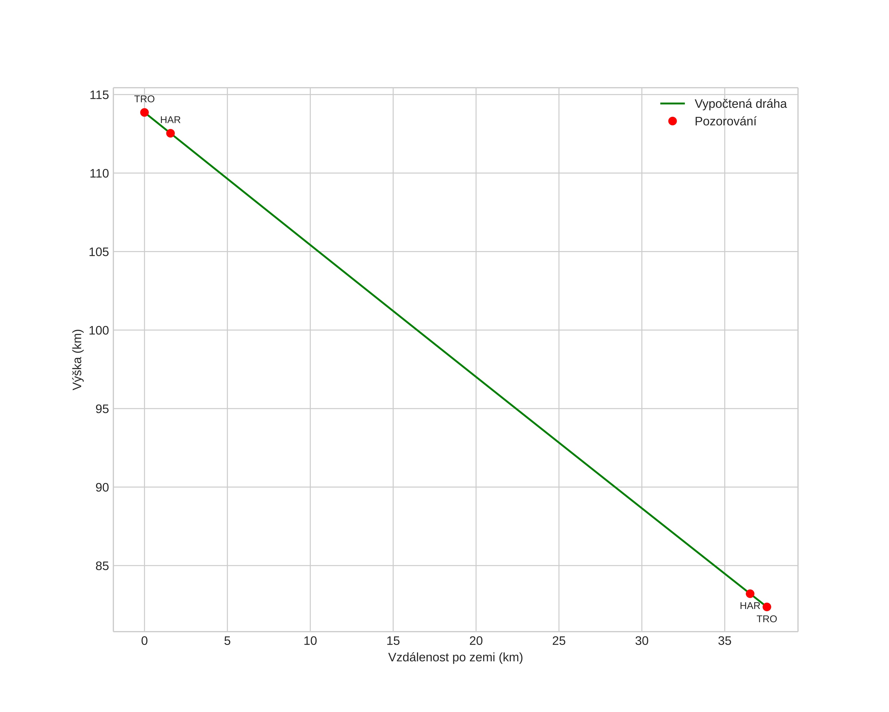
Atmosférická dráha meteoru:
Počáteční výška: 114,5 km
Konečná výška: 82,4 km
Počáteční poloha: 63,185N 7,927E
Konečná poloha: 63,509N 7,666E
Směr: 340,3°
Sklon: 39,9°
VstupnĂ­ rychlost: 67,9 km/s
Rektascenze radiantu: 05:56 (89,2°)
Deklinace radiantu: 13,9°
MeteorickĂ˝ roj: Orionidy
Elementy dráhy meteoroidu:
Vzdálenost v periheliu: 0,678 AU
Excentricita: 0,930
Sklon dráhy: 161,0°
Délka vzestupného uzlu: 18,9°
Argument perihelia: 70,5°
Střední anomálie: 358,8°
Epocha: 2024 OCT 12 03:00:33
orbit plot

NeinteraktivnĂ­ graf | InteraktivnĂ­ graf

position vs time
speed and acceleration