🇳🇴 🇬🇧 🇩🇪 🇨🇿 🇫🇮

Meteor Hopenin yllä 2024-10-12 03:00:33 UTC

KML-tiedosto  |  Interaktiivinen kartta

Kartta näyttää meteorin suuntahavainnot. Vaaleammat viivat näyttävät suunnat havaintoasemilta meteorin ilmestyessä, ja tummemmat viivat näyttävät, missä se viimeksi nähtiin. Sininen nuoli näyttää meteorin näkyvän lennon.

static map
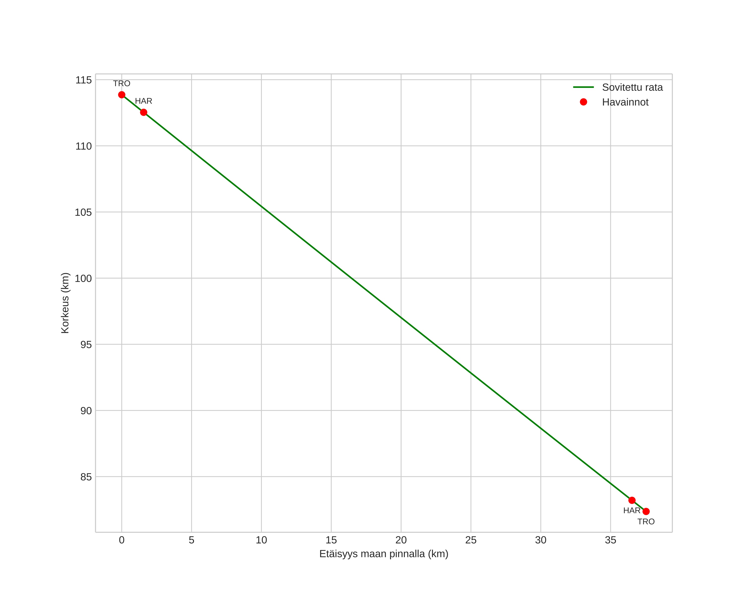
height profile
Meteorin ilmakehärata:
Alkukorkeus: 114,5 km
Loppukorkeus: 82,4 km
Alkupiste: 63,185N 7,927E
Loppupiste: 63,509N 7,666E
Suunta: 340,3°
Kallistuskulma: 39,9°
Tulonopeus: 67,9 km/s
Radiantin R,A,: 05:56 (89,2°)
Radiantin Dekl,: 13,9°
Meteoriparvi: Orionidit
Meteoroidin rataelementit:
Perihelietäisyys: 0,678 AU
Eksentrisyys: 0,930
Inklinaatio: 161,0°
Nousevan solmun pituus: 18,9°
Perihelin argumentti: 70,5°
Keskianomalia: 358,8°
Epookki: 2024 OCT 12 03:00:33
orbit plot

Ei-interaktiivinen kuvaaja | Interaktiivinen kuvaaja

position vs time
speed and acceleration