🇳🇴 🇬🇧 🇩🇪 🇨🇿 🇫🇮

Meteor, poloha: Tromsø 2024-10-19 23:27:55 UTC

Soubor KML  |  InteraktivnĂ­ mapa

Mapa zobrazuje dráhy meteoru. Světlejší čáry ukazují směry od pozorovacích stanic při objevení se meteoru a tmavší čáry, kde byl naposledy viděn. Modrá šipka značí viditelnou dráhu meteoru.

static map
height profile
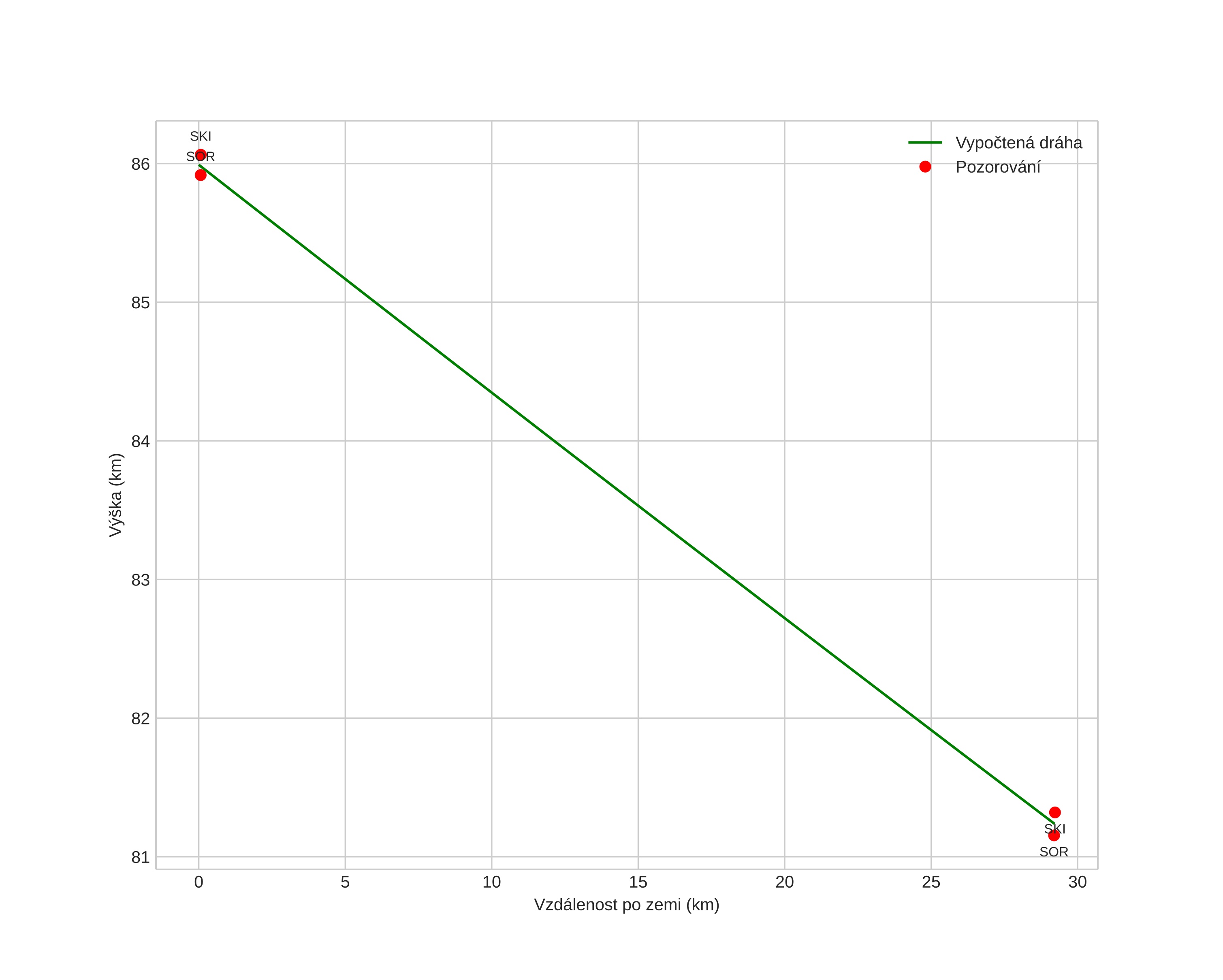
Atmosférická dráha meteoru:
Počáteční výška: 86,0 km
Konečná výška: 83,5 km
Počáteční poloha: 70,055N 18,262E
Konečná poloha: 70,094N 19,057E
Směr: 81,6°
Sklon: 4,7°
VstupnĂ­ rychlost: 14,1 km/s
Rektascenze radiantu: 20:38 (309,7°)
Deklinace radiantu: -20,9°
MeteorickĂ˝ roj: sporadickĂ˝
Elementy dráhy meteoroidu:
Vzdálenost v periheliu: 0,992 AU
Excentricita: 0,687
Sklon dráhy: 0,6°
Délka vzestupného uzlu: 26,9°
Argument perihelia: 7,2°
Střední anomálie: 359,0°
Epocha: 2024 OCT 19 23:27:55
orbit plot

NeinteraktivnĂ­ graf | InteraktivnĂ­ graf

position vs time
speed and acceleration