🇳🇴 🇬🇧 🇩🇪 🇨🇿 🇫🇮

Meteor Tromsøin yllä 2024-10-19 23:27:55 UTC

KML-tiedosto  |  Interaktiivinen kartta

Kartta näyttää meteorin suuntahavainnot. Vaaleammat viivat näyttävät suunnat havaintoasemilta meteorin ilmestyessä, ja tummemmat viivat näyttävät, missä se viimeksi nähtiin. Sininen nuoli näyttää meteorin näkyvän lennon.

static map
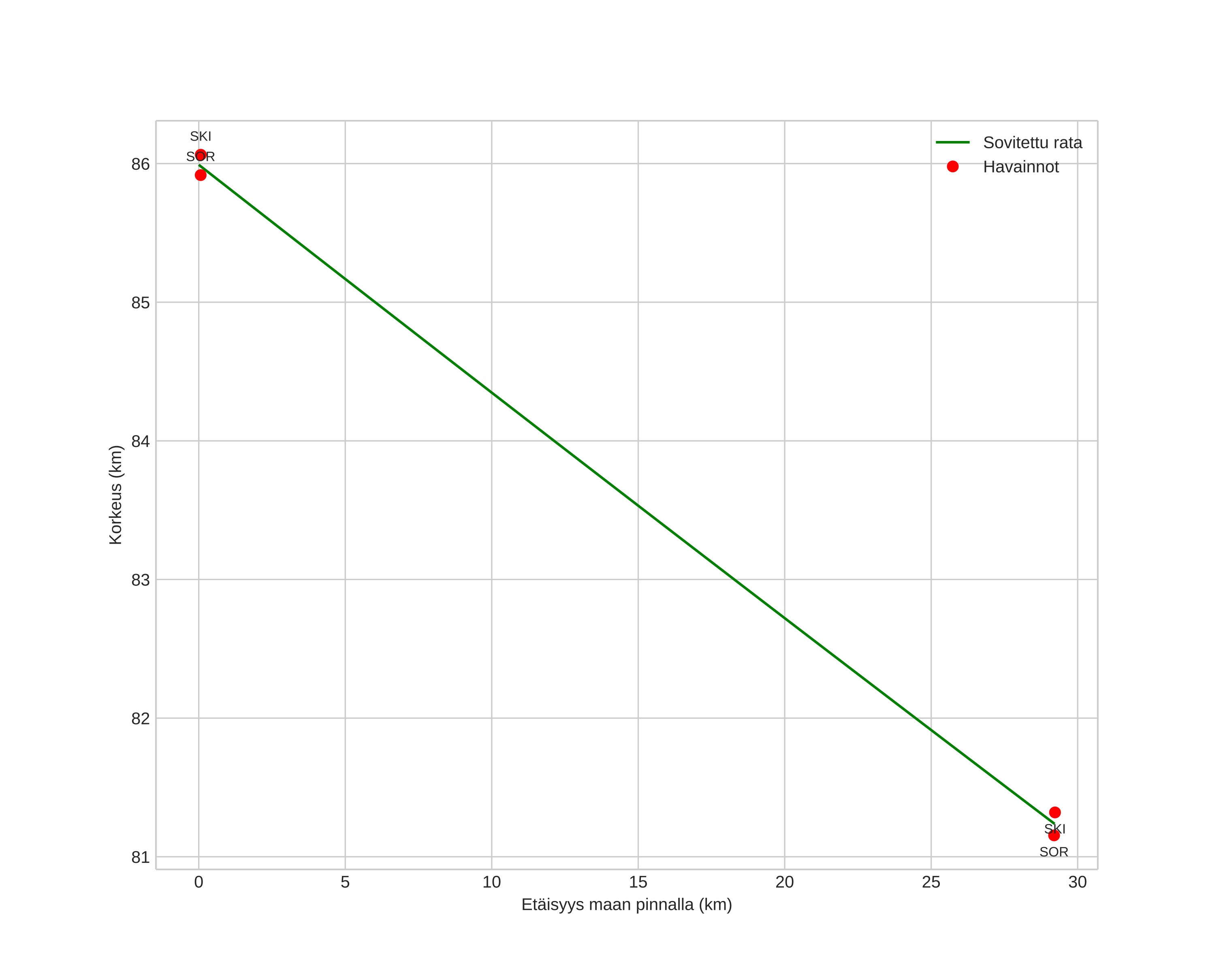
height profile
Meteorin ilmakehärata:
Alkukorkeus: 86,0 km
Loppukorkeus: 83,5 km
Alkupiste: 70,055N 18,262E
Loppupiste: 70,094N 19,057E
Suunta: 81,6°
Kallistuskulma: 4,7°
Tulonopeus: 14,1 km/s
Radiantin R,A,: 20:38 (309,7°)
Radiantin Dekl,: -20,9°
Meteoriparvi: Sporadinen
Meteoroidin rataelementit:
Perihelietäisyys: 0,992 AU
Eksentrisyys: 0,687
Inklinaatio: 0,6°
Nousevan solmun pituus: 26,9°
Perihelin argumentti: 7,2°
Keskianomalia: 359,0°
Epookki: 2024 OCT 19 23:27:55
orbit plot

Ei-interaktiivinen kuvaaja | Interaktiivinen kuvaaja

position vs time
speed and acceleration