🇳🇴 🇬🇧 🇩🇪 🇨🇿 🇫🇮

Meteor, poloha: Treungen 2024-10-21 17:48:28 UTC

Soubor KML  |  InteraktivnĂ­ mapa

Mapa zobrazuje dráhy meteoru. Světlejší čáry ukazují směry od pozorovacích stanic při objevení se meteoru a tmavší čáry, kde byl naposledy viděn. Modrá šipka značí viditelnou dráhu meteoru.

static map
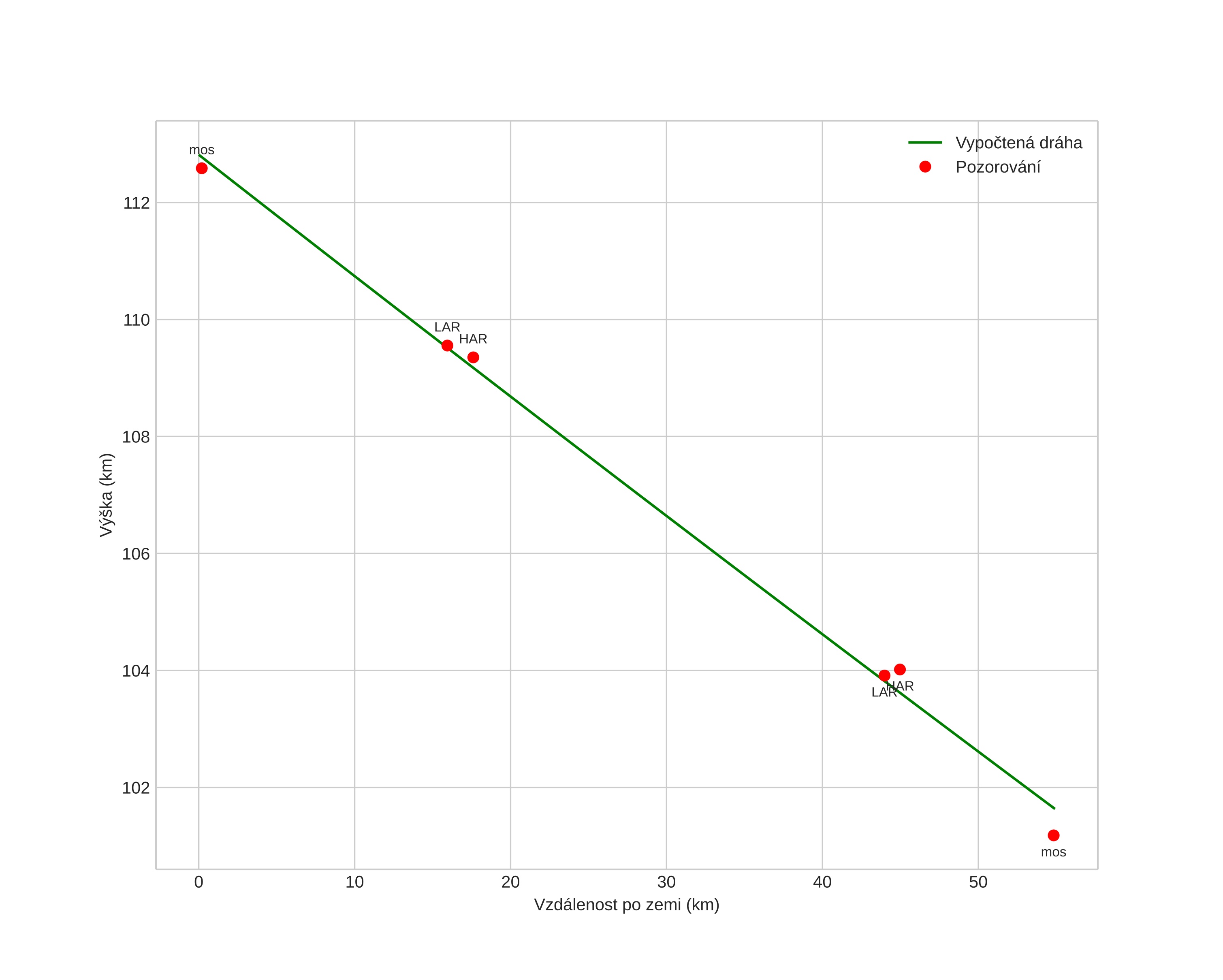
height profile
Atmosférická dráha meteoru:
Počáteční výška: 111,6 km
Konečná výška: 101,3 km
Počáteční poloha: 59,453N 8,284E
Konečná poloha: 59,088N 8,661E
Směr: 152,0°
Sklon: 12,7°
VstupnĂ­ rychlost: 63,1 km/s
Rektascenze radiantu: 10:46 (161,6°)
Deklinace radiantu: 38,2°
MeteorickĂ˝ roj: leo-minoridene
Elementy dráhy meteoroidu:
Vzdálenost v periheliu: 0,639 AU
Excentricita: 1,064
Sklon dráhy: 121,9°
Délka vzestupného uzlu: 208,5°
Argument perihelia: 107,8°
Střední anomálie: 1,1°
Epocha: 2024 OCT 21 17:48:28
orbit plot

NeinteraktivnĂ­ graf | InteraktivnĂ­ graf

position vs time
speed and acceleration