🇳🇴 🇬🇧 🇩🇪 🇨🇿 🇫🇮

Meteor Treungenin yllä 2024-10-21 17:48:28 UTC

KML-tiedosto  |  Interaktiivinen kartta

Kartta näyttää meteorin suuntahavainnot. Vaaleammat viivat näyttävät suunnat havaintoasemilta meteorin ilmestyessä, ja tummemmat viivat näyttävät, missä se viimeksi nähtiin. Sininen nuoli näyttää meteorin näkyvän lennon.

static map
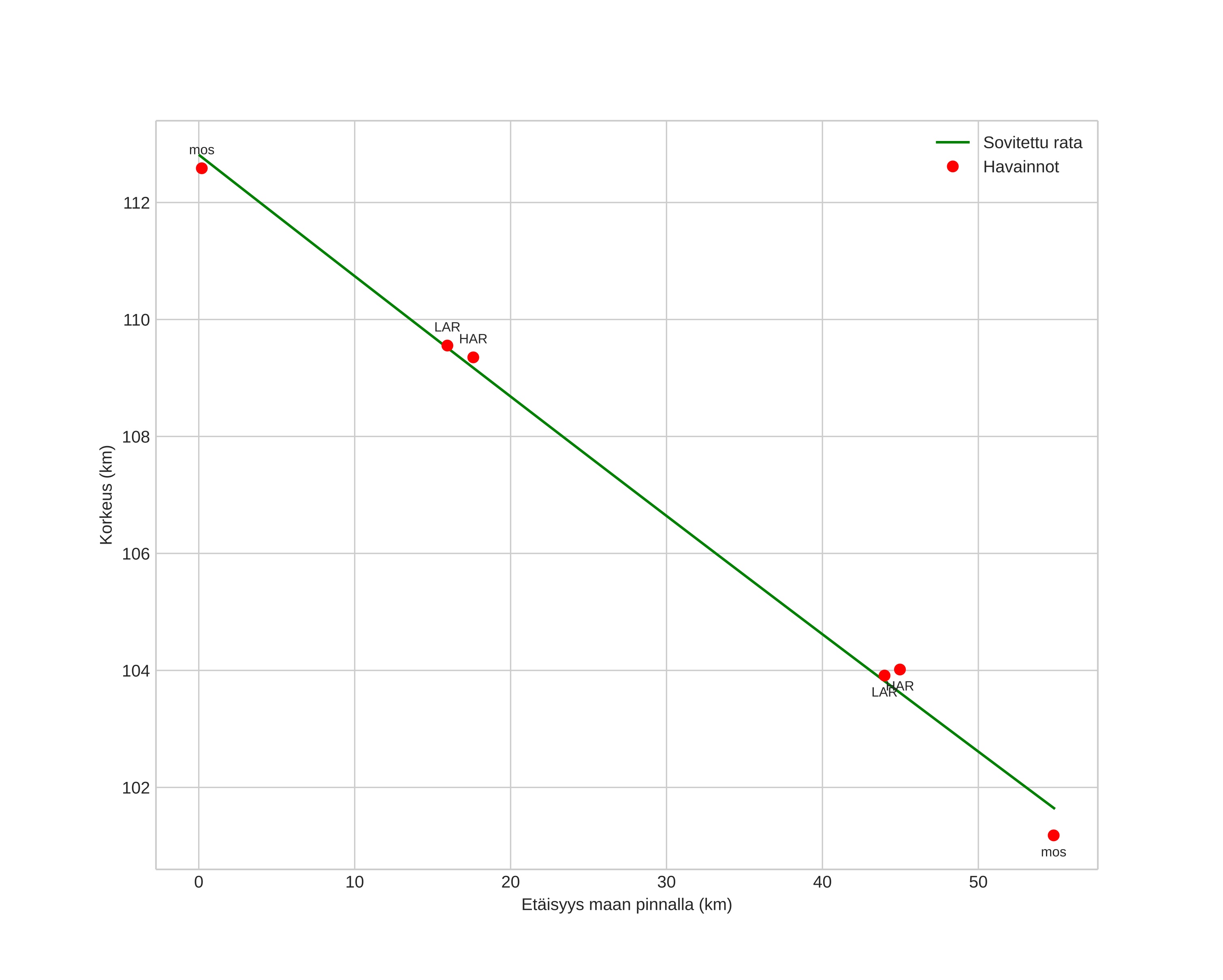
height profile
Meteorin ilmakehärata:
Alkukorkeus: 111,6 km
Loppukorkeus: 101,3 km
Alkupiste: 59,453N 8,284E
Loppupiste: 59,088N 8,661E
Suunta: 152,0°
Kallistuskulma: 12,7°
Tulonopeus: 63,1 km/s
Radiantin R,A,: 10:46 (161,6°)
Radiantin Dekl,: 38,2°
Meteoriparvi: leo-minoridene
Meteoroidin rataelementit:
Perihelietäisyys: 0,639 AU
Eksentrisyys: 1,064
Inklinaatio: 121,9°
Nousevan solmun pituus: 208,5°
Perihelin argumentti: 107,8°
Keskianomalia: 1,1°
Epookki: 2024 OCT 21 17:48:28
orbit plot

Ei-interaktiivinen kuvaaja | Interaktiivinen kuvaaja

position vs time
speed and acceleration