🇳🇴 🇬🇧 🇩🇪 🇨🇿 🇫🇮

Meteor, poloha: Ulefoss 2024-10-22 01:37:24 UTC

Soubor KML  |  InteraktivnĂ­ mapa

Mapa zobrazuje dráhy meteoru. Světlejší čáry ukazují směry od pozorovacích stanic při objevení se meteoru a tmavší čáry, kde byl naposledy viděn. Modrá šipka značí viditelnou dráhu meteoru.

static map
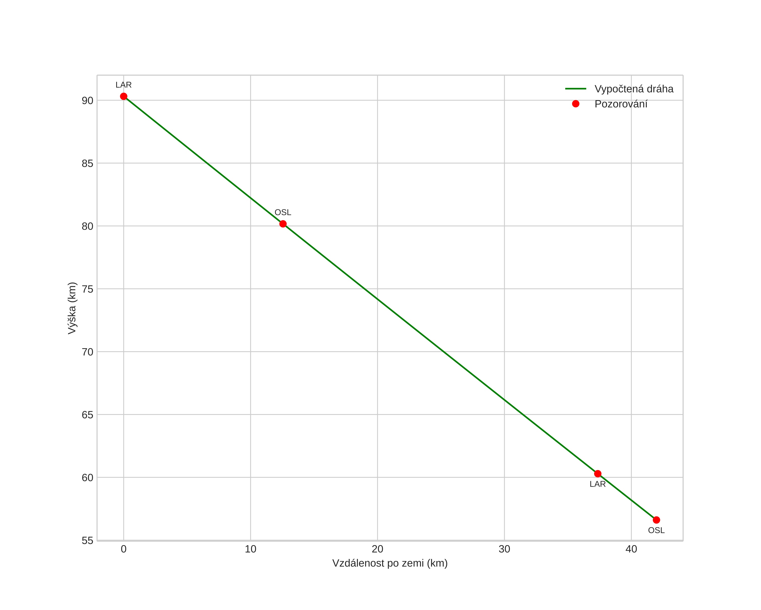
height profile
Atmosférická dráha meteoru:
Počáteční výška: 92,4 km
Konečná výška: 49,1 km
Počáteční poloha: 58,943N 8,814E
Konečná poloha: 59,350N 9,307E
Směr: 31,7°
Sklon: 39,1°
VstupnĂ­ rychlost: 27,7 km/s
Rektascenze radiantu: 02:32 (38,1°)
Deklinace radiantu: 9,1°
MeteorickĂ˝ roj: JiĹľnĂ­ Tauridy
Elementy dráhy meteoroidu:
Vzdálenost v periheliu: 0,415 AU
Excentricita: 0,779
Sklon dráhy: 5,6°
Délka vzestupného uzlu: 28,8°
Argument perihelia: 109,4°
Střední anomálie: 342,7°
Epocha: 2024 OCT 22 01:37:24
orbit plot

NeinteraktivnĂ­ graf | InteraktivnĂ­ graf

position vs time
speed and acceleration