🇳🇴 🇬🇧 🇩🇪 🇨🇿 🇫🇮

Meteor Ulefossin yllä 2024-10-22 01:37:24 UTC

KML-tiedosto  |  Interaktiivinen kartta

Kartta näyttää meteorin suuntahavainnot. Vaaleammat viivat näyttävät suunnat havaintoasemilta meteorin ilmestyessä, ja tummemmat viivat näyttävät, missä se viimeksi nähtiin. Sininen nuoli näyttää meteorin näkyvän lennon.

static map
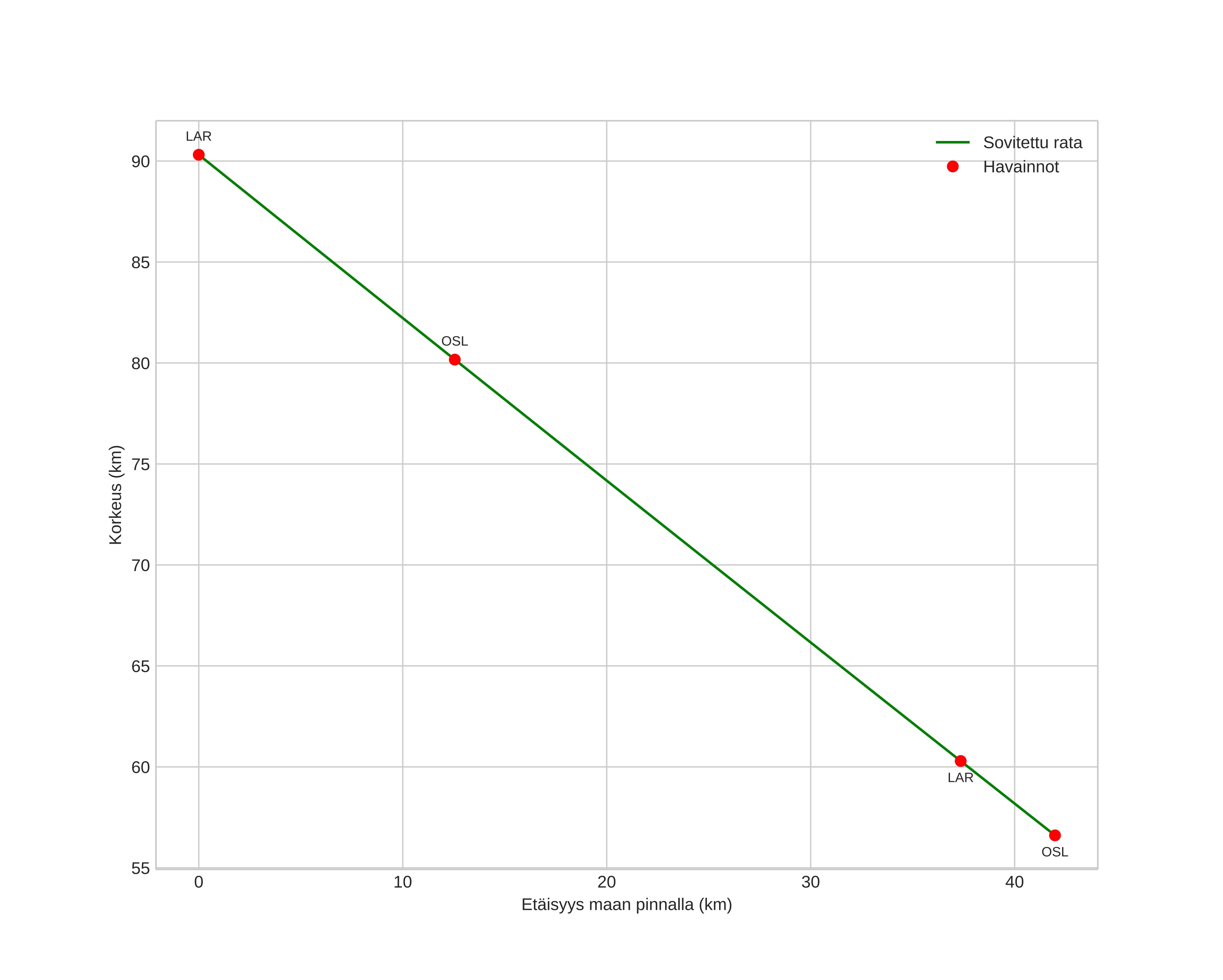
height profile
Meteorin ilmakehärata:
Alkukorkeus: 92,4 km
Loppukorkeus: 49,1 km
Alkupiste: 58,943N 8,814E
Loppupiste: 59,350N 9,307E
Suunta: 31,7°
Kallistuskulma: 39,1°
Tulonopeus: 27,7 km/s
Radiantin R,A,: 02:32 (38,1°)
Radiantin Dekl,: 9,1°
Meteoriparvi: Eteläiset tauridit
Meteoroidin rataelementit:
Perihelietäisyys: 0,415 AU
Eksentrisyys: 0,779
Inklinaatio: 5,6°
Nousevan solmun pituus: 28,8°
Perihelin argumentti: 109,4°
Keskianomalia: 342,7°
Epookki: 2024 OCT 22 01:37:24
orbit plot

Ei-interaktiivinen kuvaaja | Interaktiivinen kuvaaja

position vs time
speed and acceleration