🇳🇴 🇬🇧 🇩🇪 🇨🇿 🇫🇮

Meteor, poloha: Slidre 2024-10-23 04:53:47 UTC

Soubor KML  |  InteraktivnĂ­ mapa

Mapa zobrazuje dráhy meteoru. Světlejší čáry ukazují směry od pozorovacích stanic při objevení se meteoru a tmavší čáry, kde byl naposledy viděn. Modrá šipka značí viditelnou dráhu meteoru.

static map
height profile
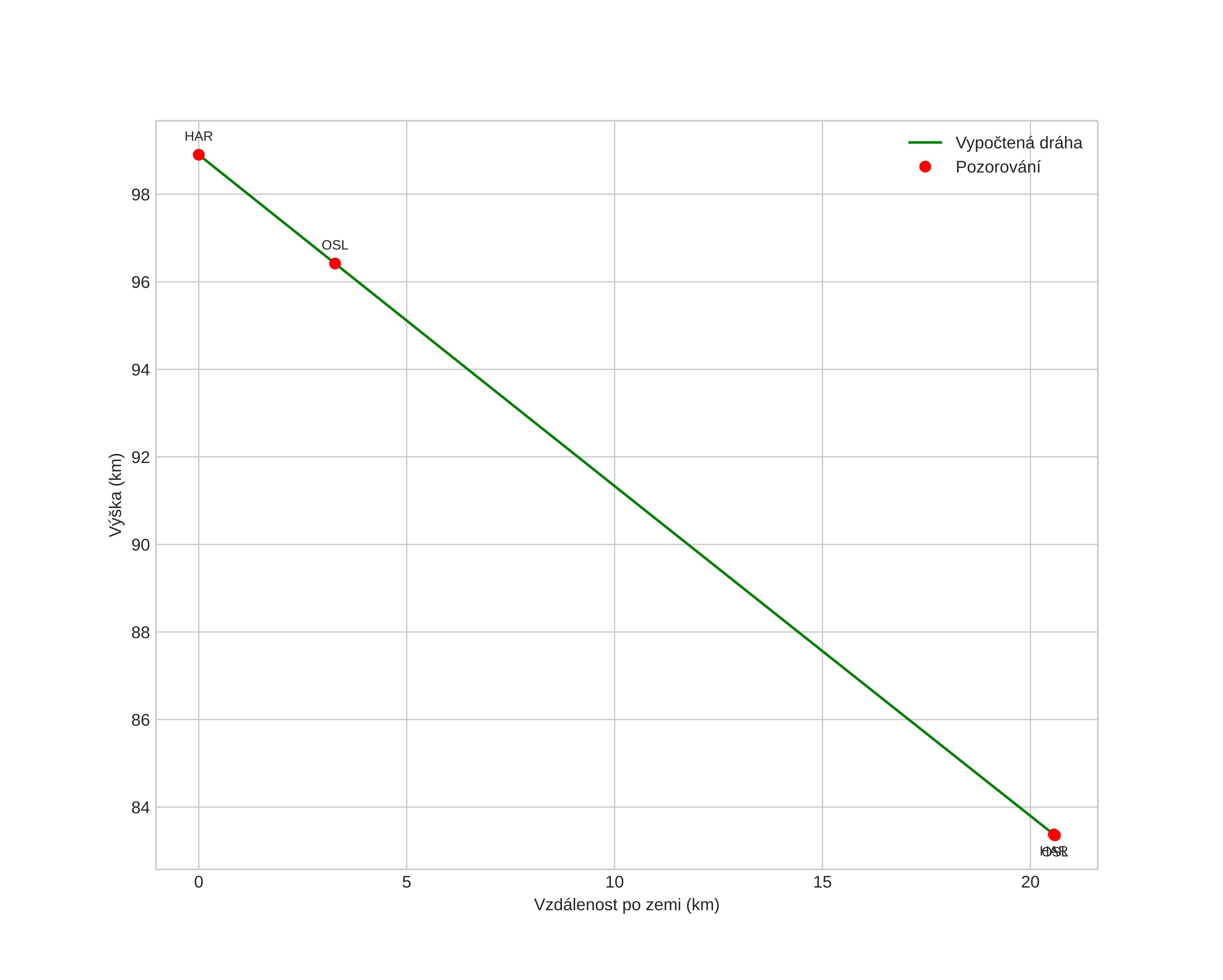
Atmosférická dráha meteoru:
Počáteční výška: 112,8 km
Konečná výška: 84,9 km
Počáteční poloha: 60,977N 8,738E
Konečná poloha: 61,244N 8,932E
Směr: 19,2°
Sklon: 41,6°
VstupnĂ­ rychlost: 64,9 km/s
Rektascenze radiantu: 06:35 (98,9°)
Deklinace radiantu: 13,3°
MeteorickĂ˝ roj: Orionidy
Elementy dráhy meteoroidu:
Vzdálenost v periheliu: 0,589 AU
Excentricita: 0,807
Sklon dráhy: 159,2°
Délka vzestupného uzlu: 29,9°
Argument perihelia: 85,0°
Střední anomálie: 352,1°
Epocha: 2024 OCT 23 04:53:47
orbit plot

NeinteraktivnĂ­ graf | InteraktivnĂ­ graf

position vs time
speed and acceleration