🇳🇴 🇬🇧 🇩🇪 🇨🇿 🇫🇮

Meteor Slidren yllä 2024-10-23 04:53:47 UTC

KML-tiedosto  |  Interaktiivinen kartta

Kartta näyttää meteorin suuntahavainnot. Vaaleammat viivat näyttävät suunnat havaintoasemilta meteorin ilmestyessä, ja tummemmat viivat näyttävät, missä se viimeksi nähtiin. Sininen nuoli näyttää meteorin näkyvän lennon.

static map
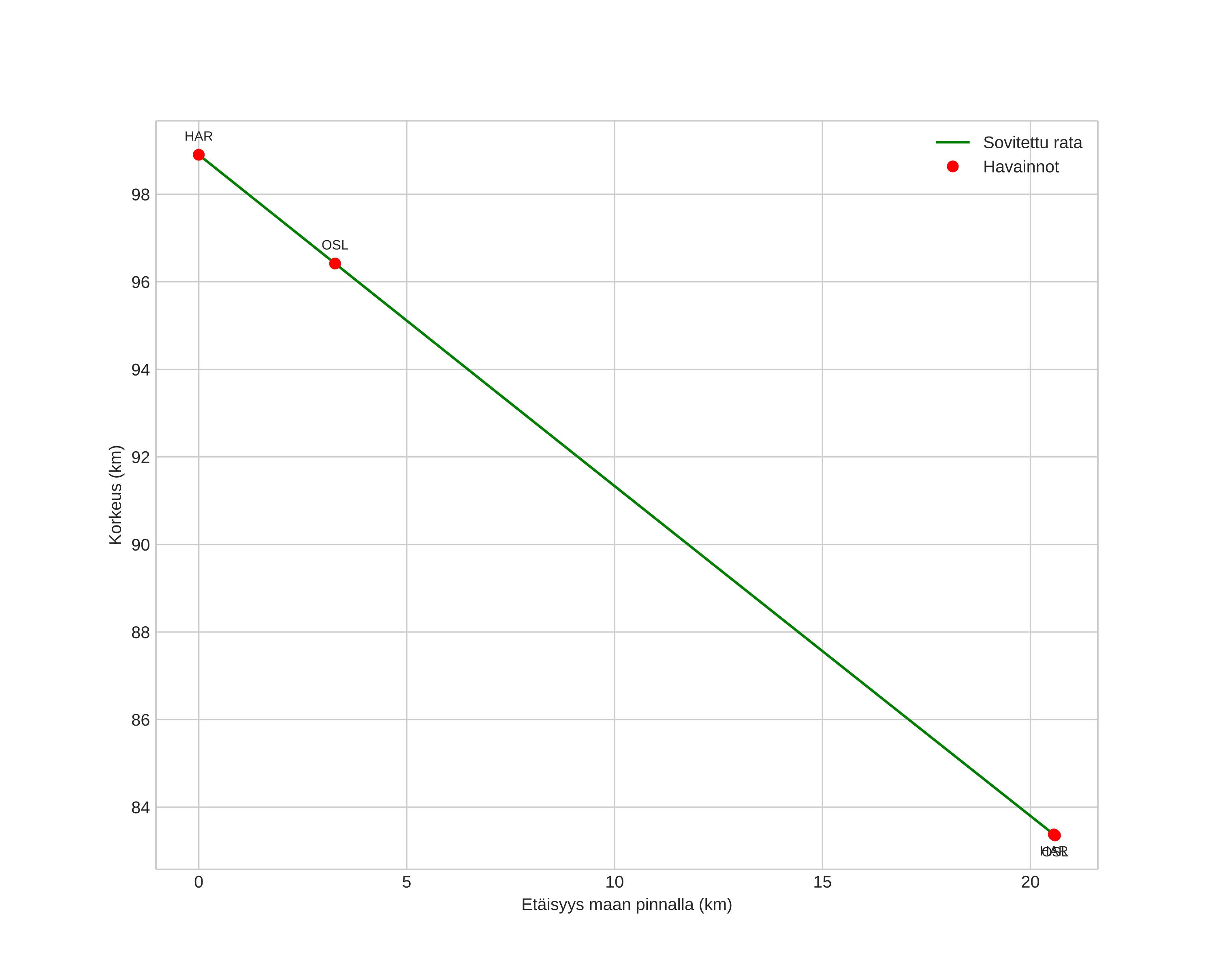
height profile
Meteorin ilmakehärata:
Alkukorkeus: 112,8 km
Loppukorkeus: 84,9 km
Alkupiste: 60,977N 8,738E
Loppupiste: 61,244N 8,932E
Suunta: 19,2°
Kallistuskulma: 41,6°
Tulonopeus: 64,9 km/s
Radiantin R,A,: 06:35 (98,9°)
Radiantin Dekl,: 13,3°
Meteoriparvi: Orionidit
Meteoroidin rataelementit:
Perihelietäisyys: 0,589 AU
Eksentrisyys: 0,807
Inklinaatio: 159,2°
Nousevan solmun pituus: 29,9°
Perihelin argumentti: 85,0°
Keskianomalia: 352,1°
Epookki: 2024 OCT 23 04:53:47
orbit plot

Ei-interaktiivinen kuvaaja | Interaktiivinen kuvaaja

position vs time
speed and acceleration