🇳🇴 🇬🇧 🇩🇪 🇨🇿 🇫🇮

Meteor, poloha: Vang 2024-10-27 22:12:17 UTC

Soubor KML  |  InteraktivnĂ­ mapa

Mapa zobrazuje dráhy meteoru. Světlejší čáry ukazují směry od pozorovacích stanic při objevení se meteoru a tmavší čáry, kde byl naposledy viděn. Modrá šipka značí viditelnou dráhu meteoru.

static map
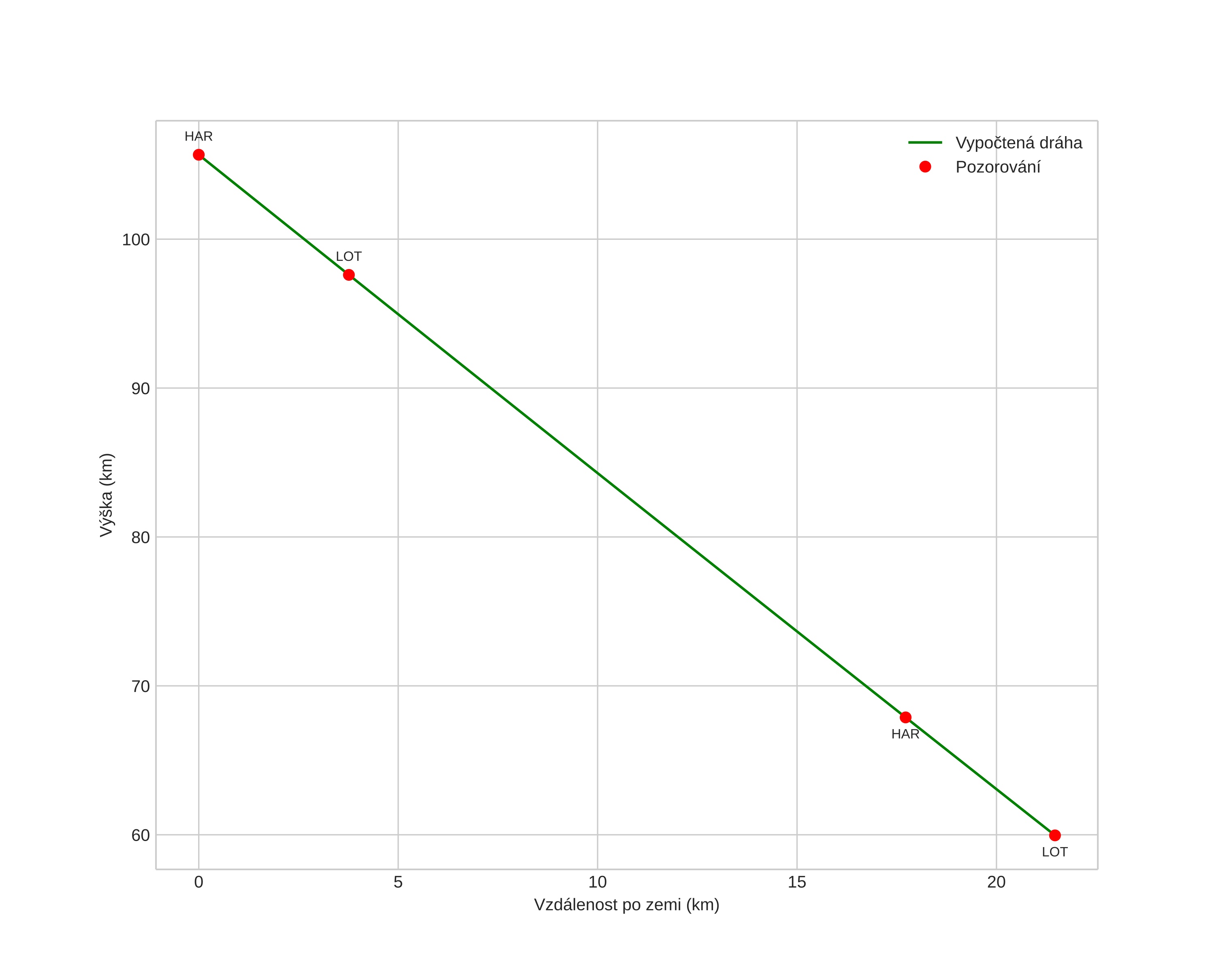
height profile
Atmosférická dráha meteoru:
Počáteční výška: 105,7 km
Konečná výška: 60,0 km
Počáteční poloha: 61,469N 8,536E
Konečná poloha: 61,275N 8,522E
Směr: 182,0°
Sklon: 64,8°
VstupnĂ­ rychlost: 43,9 km/s
Rektascenze radiantu: 01:48 (27,2°)
Deklinace radiantu: 86,8°
MeteorickĂ˝ roj: sporadickĂ˝
Elementy dráhy meteoroidu:
Vzdálenost v periheliu: 0,918 AU
Excentricita: 1,125
Sklon dráhy: 66,8°
Délka vzestupného uzlu: 214,6°
Argument perihelia: 211,0°
Střední anomálie: -1,0°
Epocha: 2024 OCT 27 22:12:17
orbit plot

NeinteraktivnĂ­ graf | InteraktivnĂ­ graf

position vs time
speed and acceleration