🇳🇴 🇬🇧 🇩🇪 🇨🇿 🇫🇮

Meteor Vangin yllä 2024-10-27 22:12:17 UTC

KML-tiedosto  |  Interaktiivinen kartta

Kartta näyttää meteorin suuntahavainnot. Vaaleammat viivat näyttävät suunnat havaintoasemilta meteorin ilmestyessä, ja tummemmat viivat näyttävät, missä se viimeksi nähtiin. Sininen nuoli näyttää meteorin näkyvän lennon.

static map
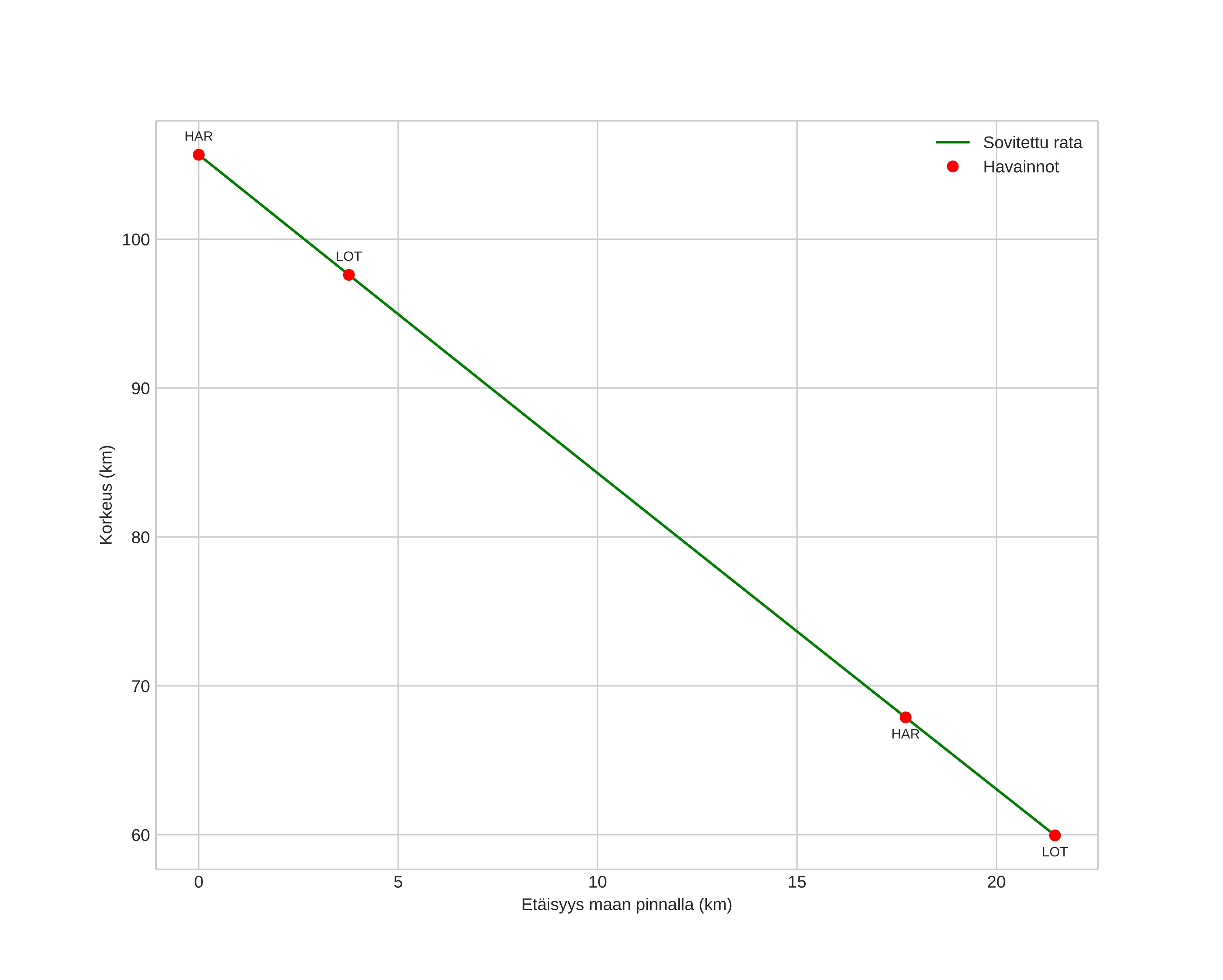
height profile
Meteorin ilmakehärata:
Alkukorkeus: 105,7 km
Loppukorkeus: 60,0 km
Alkupiste: 61,469N 8,536E
Loppupiste: 61,275N 8,522E
Suunta: 182,0°
Kallistuskulma: 64,8°
Tulonopeus: 43,9 km/s
Radiantin R,A,: 01:48 (27,2°)
Radiantin Dekl,: 86,8°
Meteoriparvi: Sporadinen
Meteoroidin rataelementit:
Perihelietäisyys: 0,918 AU
Eksentrisyys: 1,125
Inklinaatio: 66,8°
Nousevan solmun pituus: 214,6°
Perihelin argumentti: 211,0°
Keskianomalia: -1,0°
Epookki: 2024 OCT 27 22:12:17
orbit plot

Ei-interaktiivinen kuvaaja | Interaktiivinen kuvaaja

position vs time
speed and acceleration