🇳🇴 🇬🇧 🇩🇪 🇨🇿 🇫🇮

Meteor, poloha: Valle 2024-10-28 17:32:07 UTC

Soubor KML  |  InteraktivnĂ­ mapa

Mapa zobrazuje dráhy meteoru. Světlejší čáry ukazují směry od pozorovacích stanic při objevení se meteoru a tmavší čáry, kde byl naposledy viděn. Modrá šipka značí viditelnou dráhu meteoru.

static map
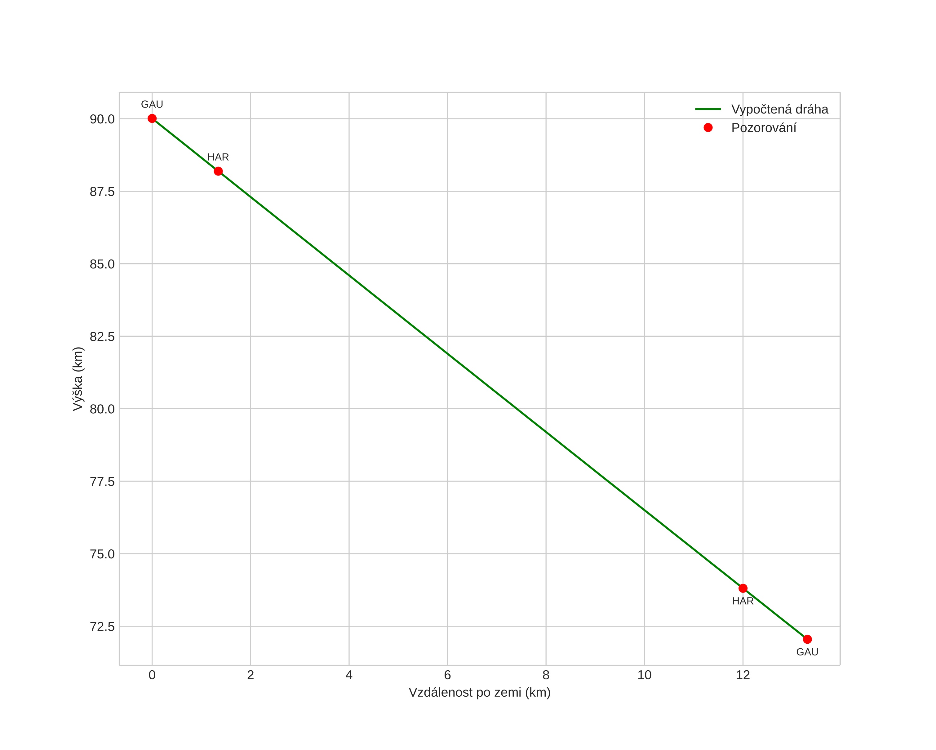
height profile
Atmosférická dráha meteoru:
Počáteční výška: 86,3 km
Konečná výška: 67,3 km
Počáteční poloha: 59,227N 7,576E
Konečná poloha: 59,258N 7,388E
Směr: 288,2°
Sklon: 59,4°
VstupnĂ­ rychlost: 22,5 km/s
Rektascenze radiantu: 23:15 (348,8°)
Deklinace radiantu: 39,5°
MeteorickĂ˝ roj: sporadickĂ˝
Elementy dráhy meteoroidu:
Vzdálenost v periheliu: 0,877 AU
Excentricita: 0,907
Sklon dráhy: 18,8°
Délka vzestupného uzlu: 215,4°
Argument perihelia: 221,2°
Střední anomálie: 359,1°
Epocha: 2024 OCT 28 17:32:07
orbit plot

NeinteraktivnĂ­ graf | InteraktivnĂ­ graf

position vs time
speed and acceleration