🇳🇴 🇬🇧 🇩🇪 🇨🇿 🇫🇮

Meteor Vallen yllä 2024-10-28 17:32:07 UTC

KML-tiedosto  |  Interaktiivinen kartta

Kartta näyttää meteorin suuntahavainnot. Vaaleammat viivat näyttävät suunnat havaintoasemilta meteorin ilmestyessä, ja tummemmat viivat näyttävät, missä se viimeksi nähtiin. Sininen nuoli näyttää meteorin näkyvän lennon.

static map
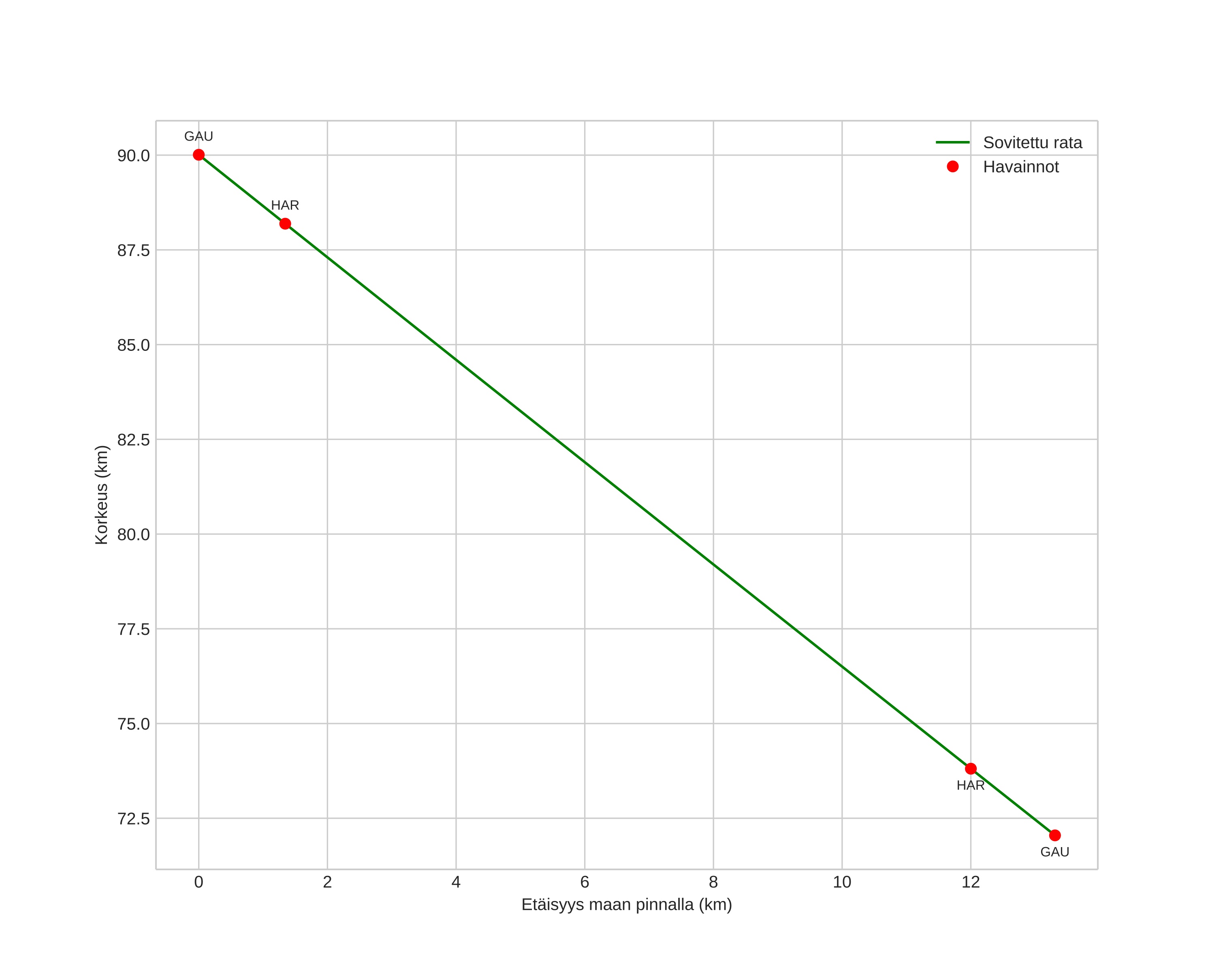
height profile
Meteorin ilmakehärata:
Alkukorkeus: 86,3 km
Loppukorkeus: 67,3 km
Alkupiste: 59,227N 7,576E
Loppupiste: 59,258N 7,388E
Suunta: 288,2°
Kallistuskulma: 59,4°
Tulonopeus: 22,5 km/s
Radiantin R,A,: 23:15 (348,8°)
Radiantin Dekl,: 39,5°
Meteoriparvi: Sporadinen
Meteoroidin rataelementit:
Perihelietäisyys: 0,877 AU
Eksentrisyys: 0,907
Inklinaatio: 18,8°
Nousevan solmun pituus: 215,4°
Perihelin argumentti: 221,2°
Keskianomalia: 359,1°
Epookki: 2024 OCT 28 17:32:07
orbit plot

Ei-interaktiivinen kuvaaja | Interaktiivinen kuvaaja

position vs time
speed and acceleration