🇳🇴 🇬🇧 🇩🇪 🇨🇿 🇫🇮

Meteor, poloha: Tønsberg 2024-10-28 19:36:11 UTC

Soubor KML  |  InteraktivnĂ­ mapa

Mapa zobrazuje dráhy meteoru. Světlejší čáry ukazují směry od pozorovacích stanic při objevení se meteoru a tmavší čáry, kde byl naposledy viděn. Modrá šipka značí viditelnou dráhu meteoru.

static map
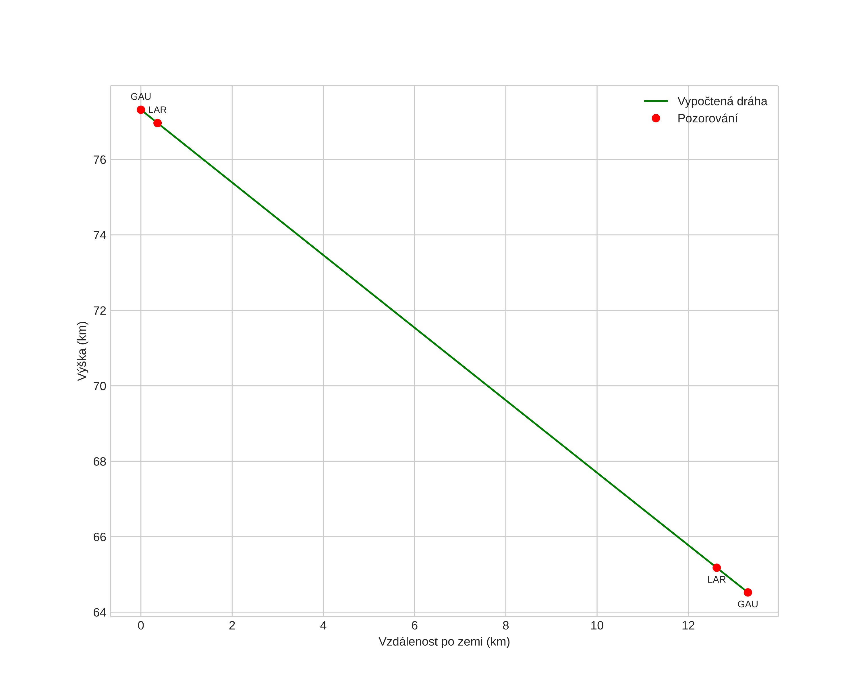
height profile
Atmosférická dráha meteoru:
Počáteční výška: 76,9 km
Konečná výška: 64,5 km
Počáteční poloha: 59,139N 10,464E
Konečná poloha: 59,250N 10,389E
Směr: 341,0°
Sklon: 43,6°
VstupnĂ­ rychlost: 15,8 km/s
Rektascenze radiantu: 23:45 (356,3°)
Deklinace radiantu: 5,6°
MeteorickĂ˝ roj: sporadickĂ˝
Elementy dráhy meteoroidu:
Vzdálenost v periheliu: 0,915 AU
Excentricita: 0,634
Sklon dráhy: 2,0°
Délka vzestupného uzlu: 215,5°
Argument perihelia: 217,4°
Střední anomálie: 353,2°
Epocha: 2024 OCT 28 19:36:11
orbit plot

NeinteraktivnĂ­ graf | InteraktivnĂ­ graf

position vs time
speed and acceleration