🇳🇴 🇬🇧 🇩🇪 🇨🇿 🇫🇮

Meteor Tønsbergin yllä 2024-10-28 19:36:11 UTC

KML-tiedosto  |  Interaktiivinen kartta

Kartta näyttää meteorin suuntahavainnot. Vaaleammat viivat näyttävät suunnat havaintoasemilta meteorin ilmestyessä, ja tummemmat viivat näyttävät, missä se viimeksi nähtiin. Sininen nuoli näyttää meteorin näkyvän lennon.

static map
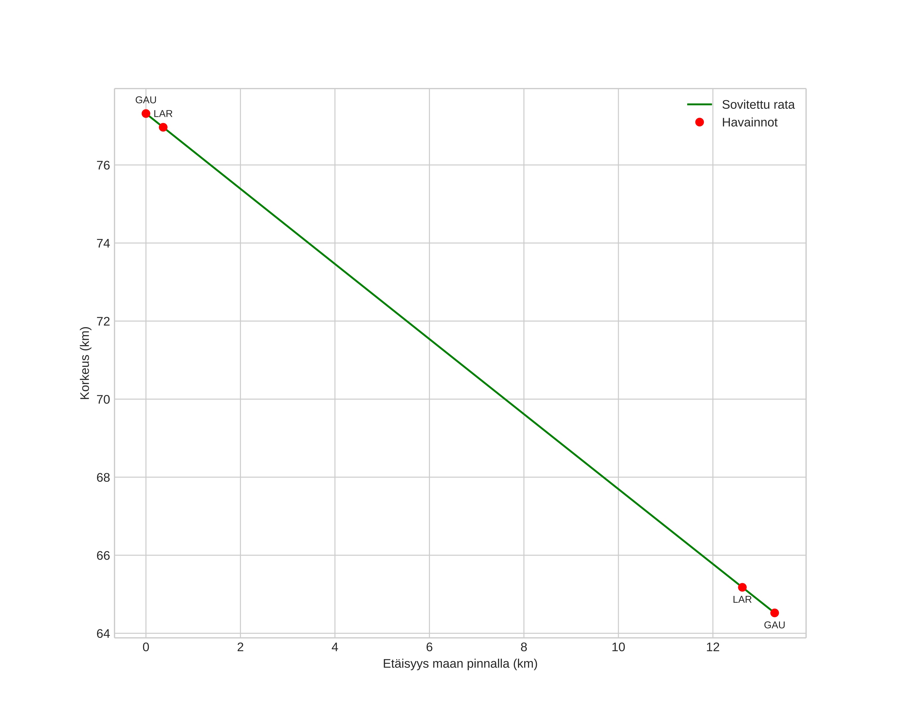
height profile
Meteorin ilmakehärata:
Alkukorkeus: 76,9 km
Loppukorkeus: 64,5 km
Alkupiste: 59,139N 10,464E
Loppupiste: 59,250N 10,389E
Suunta: 341,0°
Kallistuskulma: 43,6°
Tulonopeus: 15,8 km/s
Radiantin R,A,: 23:45 (356,3°)
Radiantin Dekl,: 5,6°
Meteoriparvi: Sporadinen
Meteoroidin rataelementit:
Perihelietäisyys: 0,915 AU
Eksentrisyys: 0,634
Inklinaatio: 2,0°
Nousevan solmun pituus: 215,5°
Perihelin argumentti: 217,4°
Keskianomalia: 353,2°
Epookki: 2024 OCT 28 19:36:11
orbit plot

Ei-interaktiivinen kuvaaja | Interaktiivinen kuvaaja

position vs time
speed and acceleration