🇳🇴 🇬🇧 🇩🇪 🇨🇿 🇫🇮

Meteor, poloha: Ă…ros 2024-10-29 02:41:15 UTC

Soubor KML  |  InteraktivnĂ­ mapa

Mapa zobrazuje dráhy meteoru. Světlejší čáry ukazují směry od pozorovacích stanic při objevení se meteoru a tmavší čáry, kde byl naposledy viděn. Modrá šipka značí viditelnou dráhu meteoru.

static map
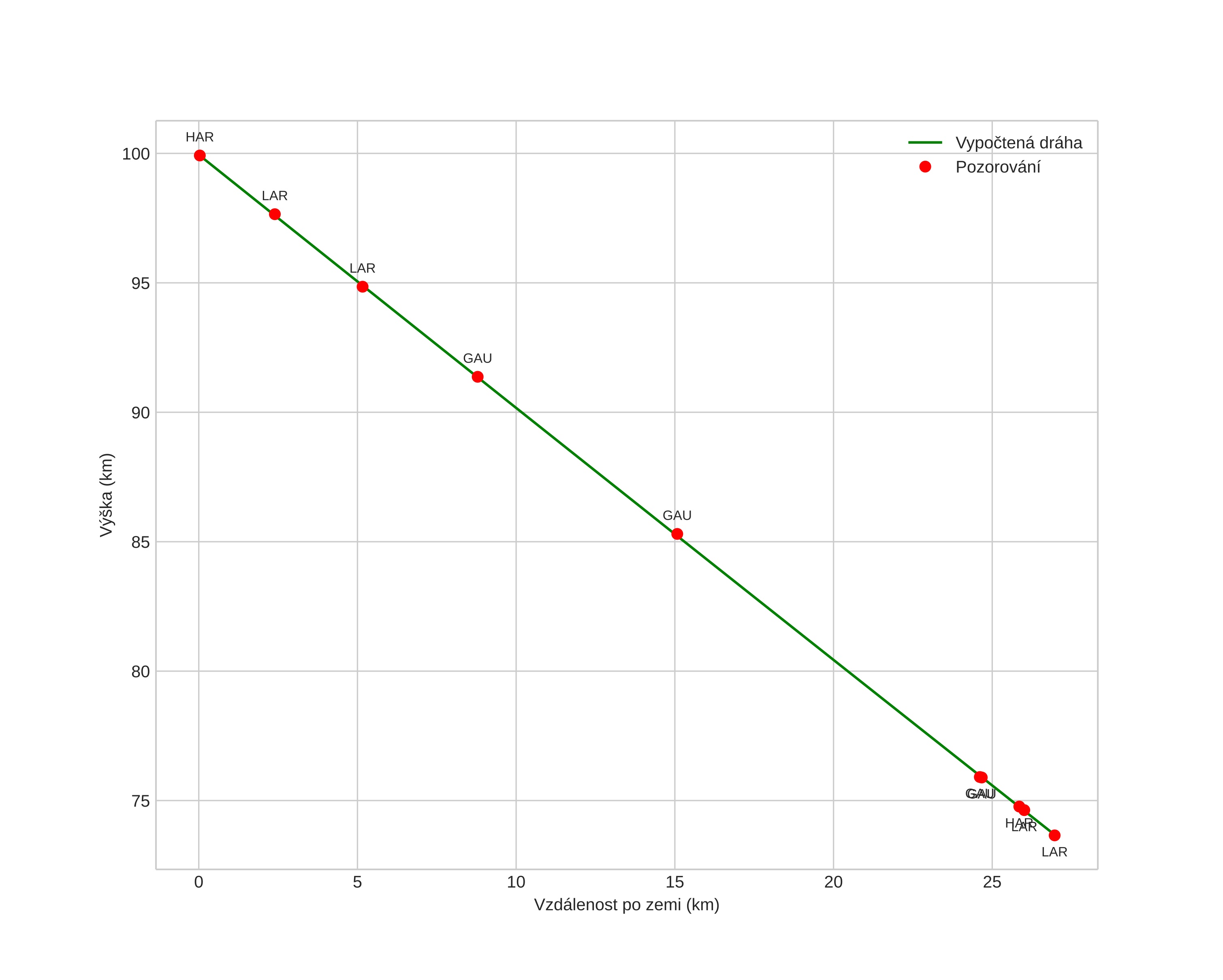
height profile
Atmosférická dráha meteoru:
Počáteční výška: 100,0 km
Konečná výška: 73,7 km
Počáteční poloha: 59,533N 10,065E
Konečná poloha: 59,679N 10,448E
Směr: 53,0°
Sklon: 44,3°
VstupnĂ­ rychlost: 31,1 km/s
Rektascenze radiantu: 03:14 (48,6°)
Deklinace radiantu: 20,8°
MeteorickĂ˝ roj: SevernĂ­ Tauridy
Elementy dráhy meteoroidu:
Vzdálenost v periheliu: 0,293 AU
Excentricita: 0,839
Sklon dráhy: 3,6°
Délka vzestupného uzlu: 215,8°
Argument perihelia: 303,0°
Střední anomálie: 343,2°
Epocha: 2024 OCT 29 02:41:15
orbit plot

NeinteraktivnĂ­ graf | InteraktivnĂ­ graf

position vs time
speed and acceleration