🇳🇴 🇬🇧 🇩🇪 🇨🇿 🇫🇮

Meteor Årosin yllä 2024-10-29 02:41:15 UTC

KML-tiedosto  |  Interaktiivinen kartta

Kartta näyttää meteorin suuntahavainnot. Vaaleammat viivat näyttävät suunnat havaintoasemilta meteorin ilmestyessä, ja tummemmat viivat näyttävät, missä se viimeksi nähtiin. Sininen nuoli näyttää meteorin näkyvän lennon.

static map
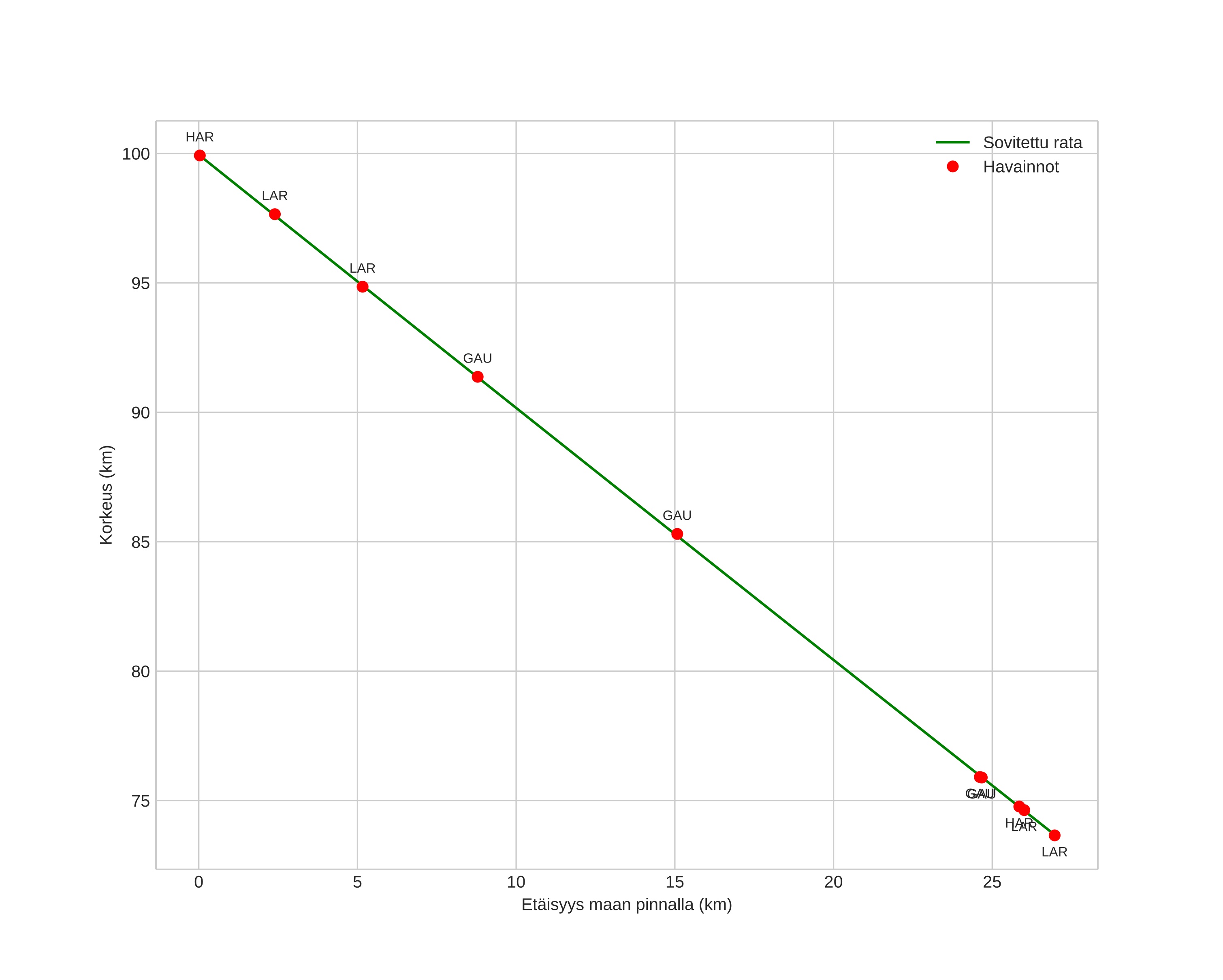
height profile
Meteorin ilmakehärata:
Alkukorkeus: 100,0 km
Loppukorkeus: 73,7 km
Alkupiste: 59,533N 10,065E
Loppupiste: 59,679N 10,448E
Suunta: 53,0°
Kallistuskulma: 44,3°
Tulonopeus: 31,1 km/s
Radiantin R,A,: 03:14 (48,6°)
Radiantin Dekl,: 20,8°
Meteoriparvi: Pohjoiset tauridit
Meteoroidin rataelementit:
Perihelietäisyys: 0,293 AU
Eksentrisyys: 0,839
Inklinaatio: 3,6°
Nousevan solmun pituus: 215,8°
Perihelin argumentti: 303,0°
Keskianomalia: 343,2°
Epookki: 2024 OCT 29 02:41:15
orbit plot

Ei-interaktiivinen kuvaaja | Interaktiivinen kuvaaja

position vs time
speed and acceleration