🇳🇴 🇬🇧 🇩🇪 🇨🇿 🇫🇮

Meteor, poloha: Grua 2024-10-29 21:37:28 UTC

Soubor KML  |  InteraktivnĂ­ mapa

Mapa zobrazuje dráhy meteoru. Světlejší čáry ukazují směry od pozorovacích stanic při objevení se meteoru a tmavší čáry, kde byl naposledy viděn. Modrá šipka značí viditelnou dráhu meteoru.

static map
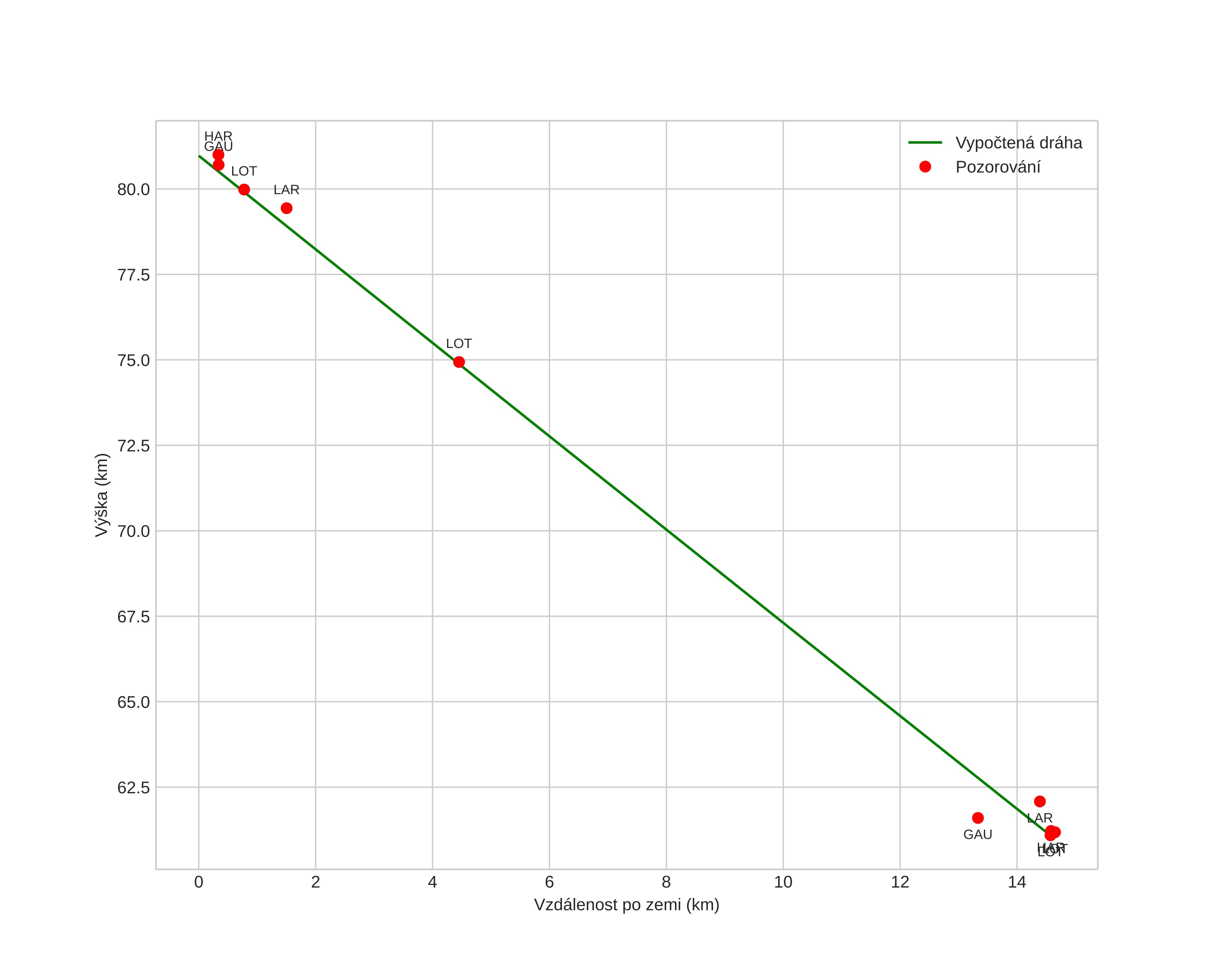
height profile
Atmosférická dráha meteoru:
Počáteční výška: 80,8 km
Konečná výška: 60,6 km
Počáteční poloha: 60,374N 10,605E
Konečná poloha: 60,272N 10,772E
Směr: 141,0°
Sklon: 54,0°
VstupnĂ­ rychlost: 17,5 km/s
Rektascenze radiantu: 18:20 (275,0°)
Deklinace radiantu: 64,7°
MeteorickĂ˝ roj: sporadickĂ˝
Elementy dráhy meteoroidu:
Vzdálenost v periheliu: 0,992 AU
Excentricita: 0,261
Sklon dráhy: 24,0°
Délka vzestupného uzlu: 216,6°
Argument perihelia: 185,0°
Střední anomálie: 357,2°
Epocha: 2024 OCT 29 21:37:28
orbit plot

NeinteraktivnĂ­ graf | InteraktivnĂ­ graf

position vs time
speed and acceleration