🇳🇴 🇬🇧 🇩🇪 🇨🇿 🇫🇮

Meteor Gruan yllä 2024-10-29 21:37:28 UTC

KML-tiedosto  |  Interaktiivinen kartta

Kartta näyttää meteorin suuntahavainnot. Vaaleammat viivat näyttävät suunnat havaintoasemilta meteorin ilmestyessä, ja tummemmat viivat näyttävät, missä se viimeksi nähtiin. Sininen nuoli näyttää meteorin näkyvän lennon.

static map
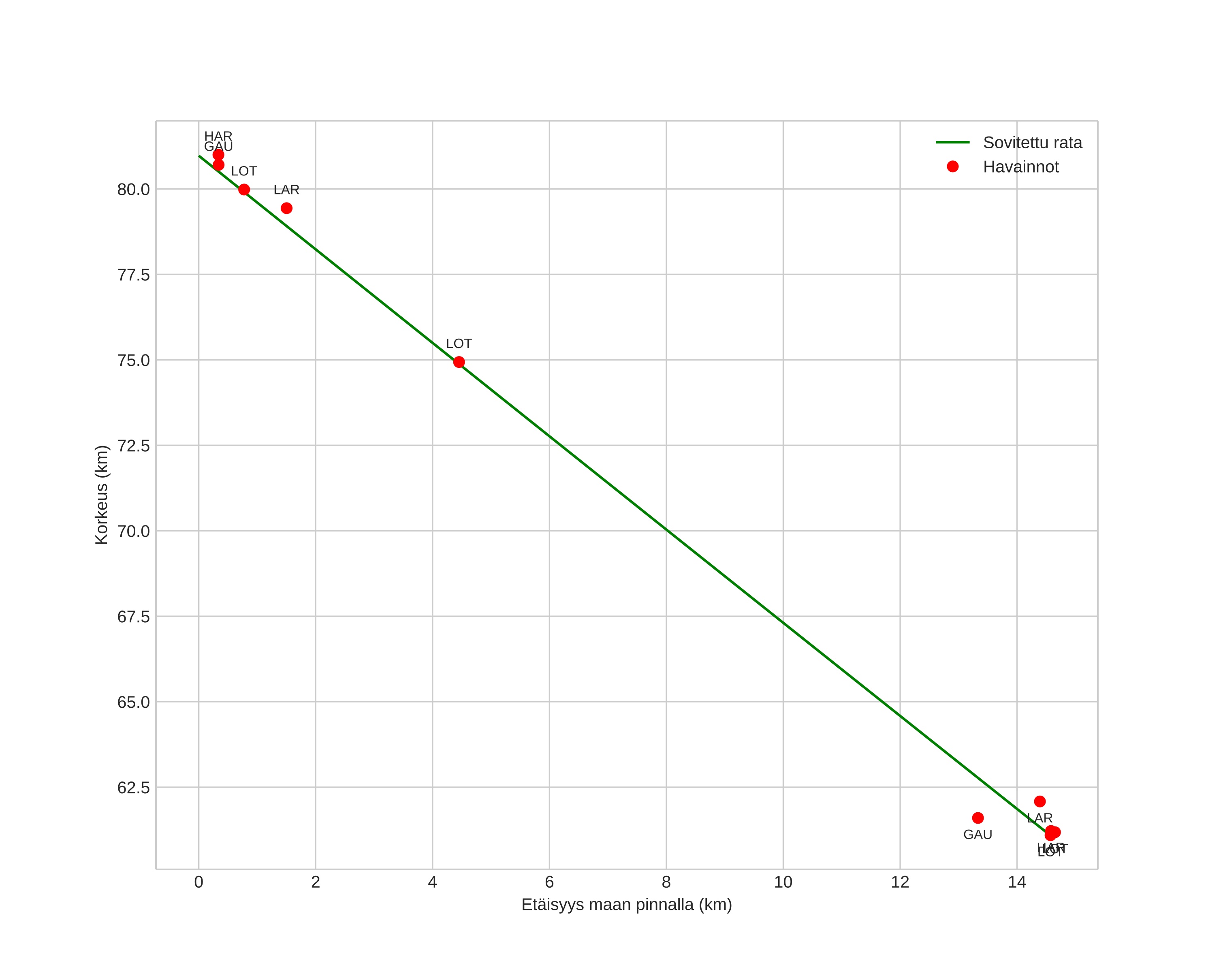
height profile
Meteorin ilmakehärata:
Alkukorkeus: 80,8 km
Loppukorkeus: 60,6 km
Alkupiste: 60,374N 10,605E
Loppupiste: 60,272N 10,772E
Suunta: 141,0°
Kallistuskulma: 54,0°
Tulonopeus: 17,5 km/s
Radiantin R,A,: 18:20 (275,0°)
Radiantin Dekl,: 64,7°
Meteoriparvi: Sporadinen
Meteoroidin rataelementit:
Perihelietäisyys: 0,992 AU
Eksentrisyys: 0,261
Inklinaatio: 24,0°
Nousevan solmun pituus: 216,6°
Perihelin argumentti: 185,0°
Keskianomalia: 357,2°
Epookki: 2024 OCT 29 21:37:28
orbit plot

Ei-interaktiivinen kuvaaja | Interaktiivinen kuvaaja

position vs time
speed and acceleration