🇳🇴 🇬🇧 🇩🇪 🇨🇿 🇫🇮

Meteor, poloha: Rødberg 2024-10-30 00:26:30 UTC

Soubor KML  |  InteraktivnĂ­ mapa

Mapa zobrazuje dráhy meteoru. Světlejší čáry ukazují směry od pozorovacích stanic při objevení se meteoru a tmavší čáry, kde byl naposledy viděn. Modrá šipka značí viditelnou dráhu meteoru.

static map
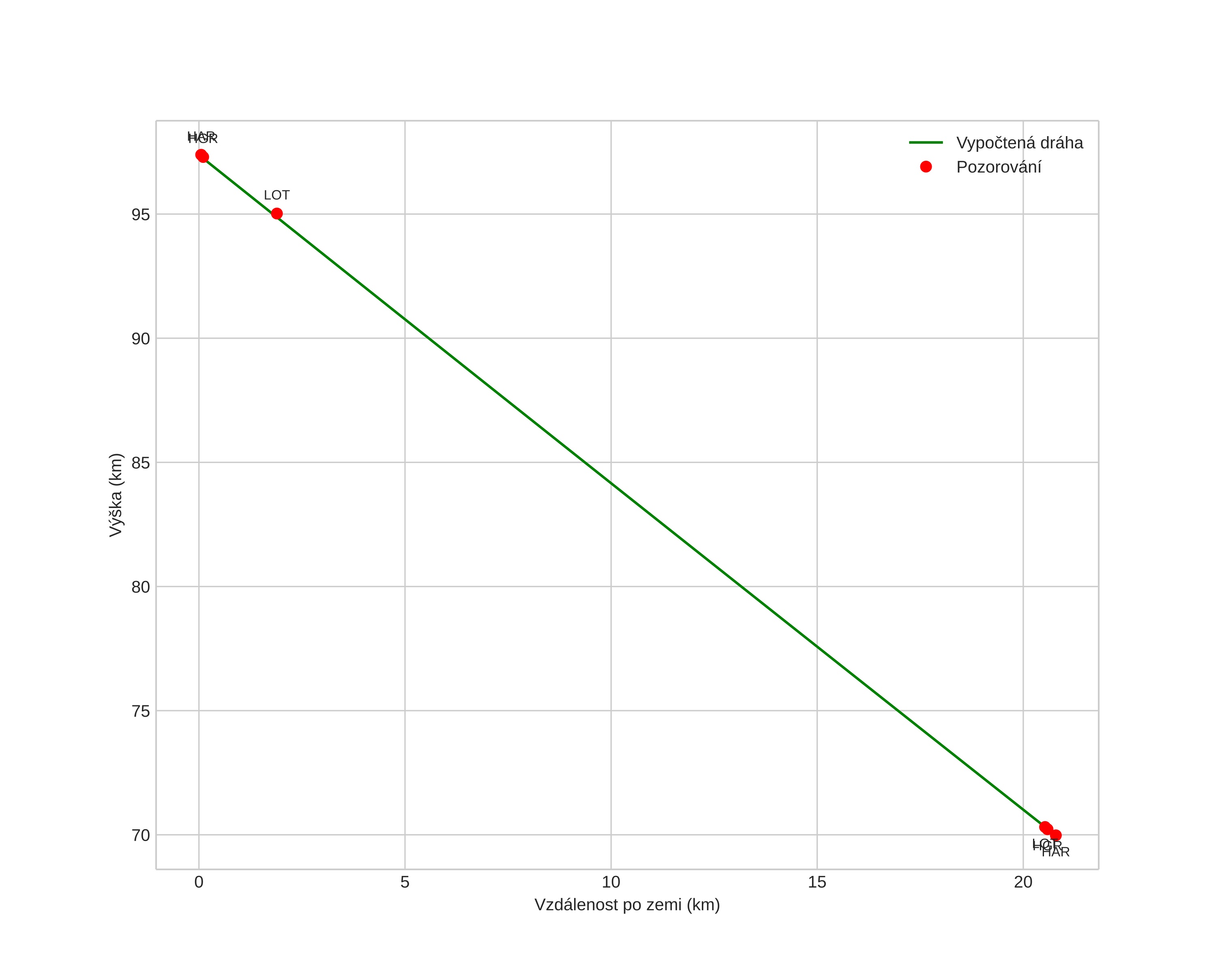
height profile
Atmosférická dráha meteoru:
Počáteční výška: 97,8 km
Konečná výška: 69,9 km
Počáteční poloha: 60,149N 8,918E
Konečná poloha: 60,337N 8,971E
Směr: 8,0°
Sklon: 52,9°
VstupnĂ­ rychlost: 33,1 km/s
Rektascenze radiantu: 03:12 (48,2°)
Deklinace radiantu: 21,9°
MeteorickĂ˝ roj: SevernĂ­ Tauridy
Elementy dráhy meteoroidu:
Vzdálenost v periheliu: 0,287 AU
Excentricita: 0,882
Sklon dráhy: 5,4°
Délka vzestupného uzlu: 216,7°
Argument perihelia: 301,1°
Střední anomálie: 349,6°
Epocha: 2024 OCT 30 00:26:30
orbit plot

NeinteraktivnĂ­ graf | InteraktivnĂ­ graf

position vs time
speed and acceleration