🇳🇴 🇬🇧 🇩🇪 🇨🇿 🇫🇮

Meteor Rødbergin yllä 2024-10-30 00:26:30 UTC

KML-tiedosto  |  Interaktiivinen kartta

Kartta näyttää meteorin suuntahavainnot. Vaaleammat viivat näyttävät suunnat havaintoasemilta meteorin ilmestyessä, ja tummemmat viivat näyttävät, missä se viimeksi nähtiin. Sininen nuoli näyttää meteorin näkyvän lennon.

static map
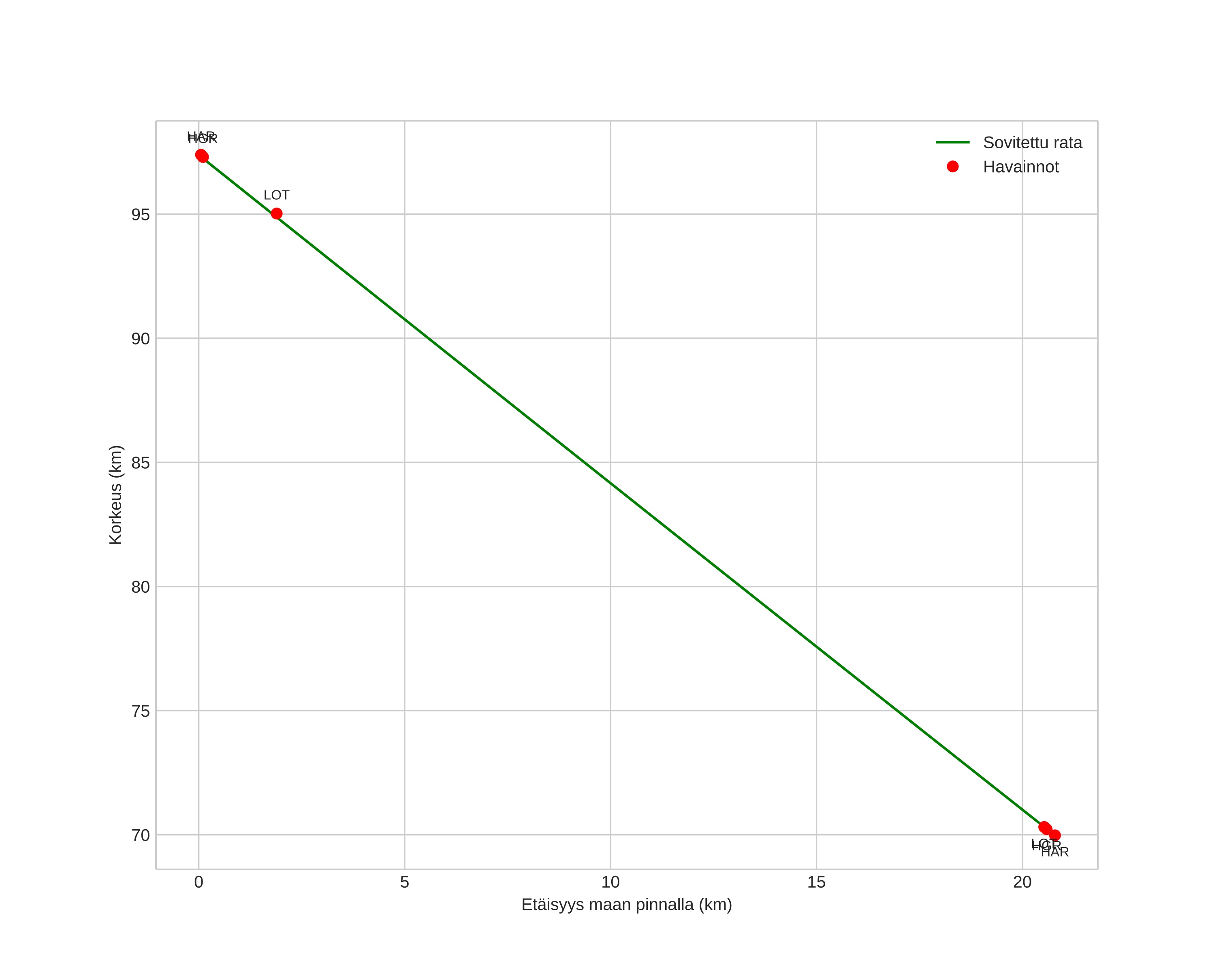
height profile
Meteorin ilmakehärata:
Alkukorkeus: 97,8 km
Loppukorkeus: 69,9 km
Alkupiste: 60,149N 8,918E
Loppupiste: 60,337N 8,971E
Suunta: 8,0°
Kallistuskulma: 52,9°
Tulonopeus: 33,1 km/s
Radiantin R,A,: 03:12 (48,2°)
Radiantin Dekl,: 21,9°
Meteoriparvi: Pohjoiset tauridit
Meteoroidin rataelementit:
Perihelietäisyys: 0,287 AU
Eksentrisyys: 0,882
Inklinaatio: 5,4°
Nousevan solmun pituus: 216,7°
Perihelin argumentti: 301,1°
Keskianomalia: 349,6°
Epookki: 2024 OCT 30 00:26:30
orbit plot

Ei-interaktiivinen kuvaaja | Interaktiivinen kuvaaja

position vs time
speed and acceleration