🇳🇴 🇬🇧 🇩🇪 🇨🇿 🇫🇮

Meteor, poloha: Kolbotn 2024-10-30 18:14:31 UTC

Soubor KML  |  InteraktivnĂ­ mapa

Mapa zobrazuje dráhy meteoru. Světlejší čáry ukazují směry od pozorovacích stanic při objevení se meteoru a tmavší čáry, kde byl naposledy viděn. Modrá šipka značí viditelnou dráhu meteoru.

static map
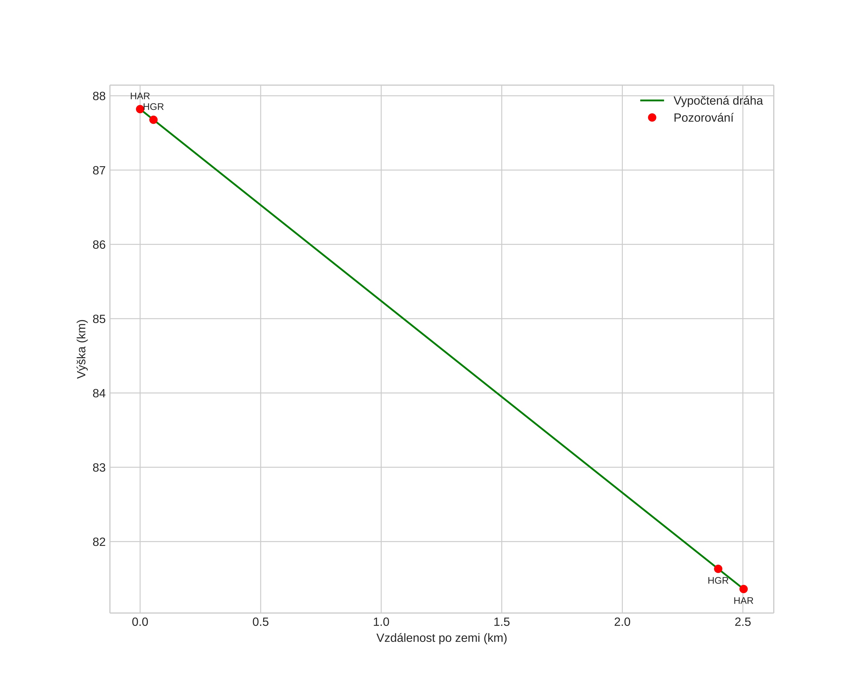
height profile
Atmosférická dráha meteoru:
Počáteční výška: 90,9 km
Konečná výška: 81,3 km
Počáteční poloha: 59,847N 10,910E
Konečná poloha: 59,839N 10,901E
Směr: 209,5°
Sklon: 84,1°
VstupnĂ­ rychlost: 14,1 km/s
Rektascenze radiantu: 21:59 (329,8°)
Deklinace radiantu: 65,8°
MeteorickĂ˝ roj: sporadickĂ˝
Elementy dráhy meteoroidu:
Vzdálenost v periheliu: 0,943 AU
Excentricita: 0,183
Sklon dráhy: 14,5°
Délka vzestupného uzlu: 217,5°
Argument perihelia: 227,4°
Střední anomálie: 326,7°
Epocha: 2024 OCT 30 18:14:31
orbit plot

NeinteraktivnĂ­ graf | InteraktivnĂ­ graf

position vs time
speed and acceleration