🇳🇴 🇬🇧 🇩🇪 🇨🇿 🇫🇮

Meteor Kolbotnin yllä 2024-10-30 18:14:31 UTC

KML-tiedosto  |  Interaktiivinen kartta

Kartta näyttää meteorin suuntahavainnot. Vaaleammat viivat näyttävät suunnat havaintoasemilta meteorin ilmestyessä, ja tummemmat viivat näyttävät, missä se viimeksi nähtiin. Sininen nuoli näyttää meteorin näkyvän lennon.

static map
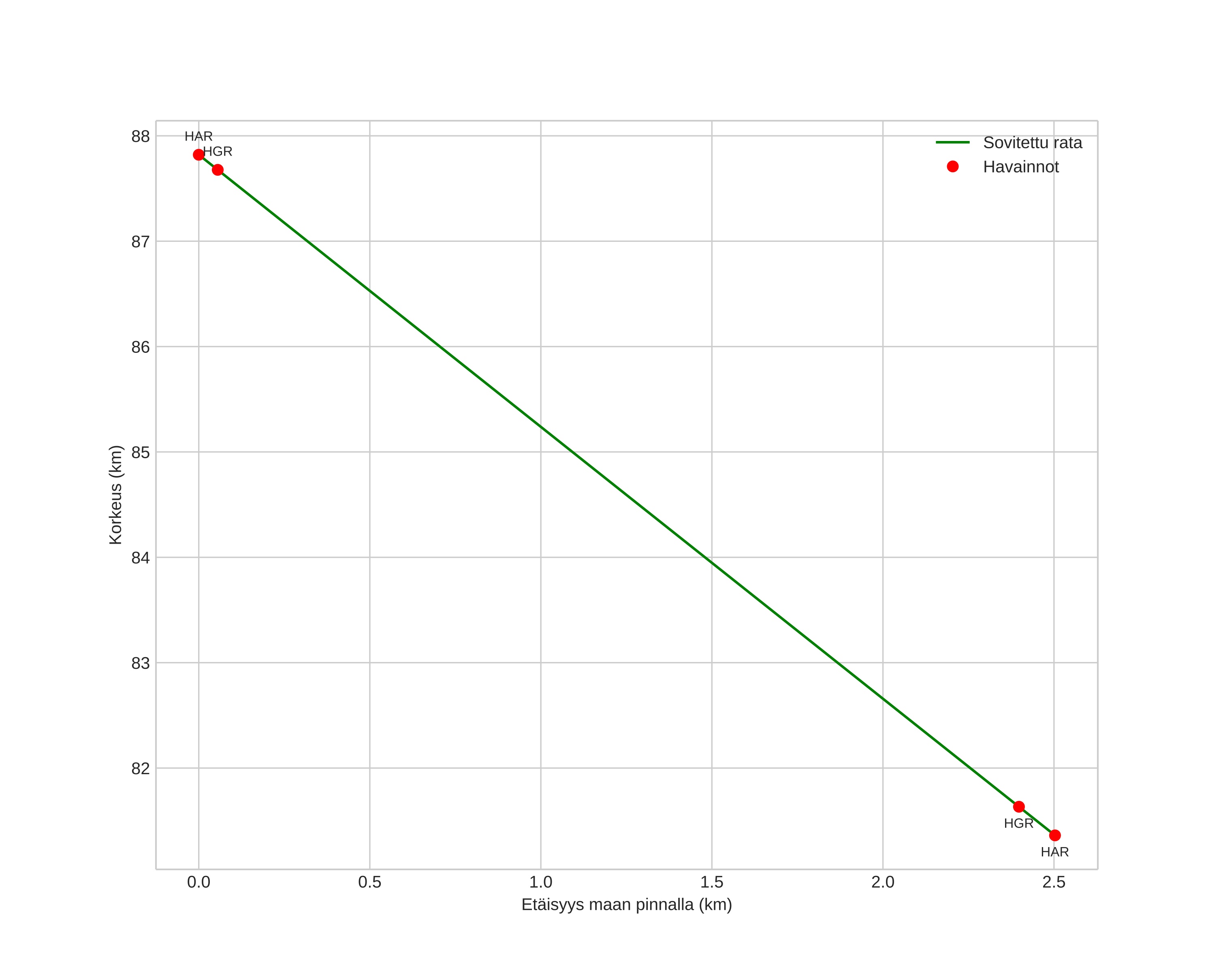
height profile
Meteorin ilmakehärata:
Alkukorkeus: 90,9 km
Loppukorkeus: 81,3 km
Alkupiste: 59,847N 10,910E
Loppupiste: 59,839N 10,901E
Suunta: 209,5°
Kallistuskulma: 84,1°
Tulonopeus: 14,1 km/s
Radiantin R,A,: 21:59 (329,8°)
Radiantin Dekl,: 65,8°
Meteoriparvi: Sporadinen
Meteoroidin rataelementit:
Perihelietäisyys: 0,943 AU
Eksentrisyys: 0,183
Inklinaatio: 14,5°
Nousevan solmun pituus: 217,5°
Perihelin argumentti: 227,4°
Keskianomalia: 326,7°
Epookki: 2024 OCT 30 18:14:31
orbit plot

Ei-interaktiivinen kuvaaja | Interaktiivinen kuvaaja

position vs time
speed and acceleration