🇳🇴 🇬🇧 🇩🇪 🇨🇿 🇫🇮

Meteor, poloha: Ă…gotnes 2024-10-31 05:17:08 UTC

Soubor KML  |  InteraktivnĂ­ mapa

Mapa zobrazuje dráhy meteoru. Světlejší čáry ukazují směry od pozorovacích stanic při objevení se meteoru a tmavší čáry, kde byl naposledy viděn. Modrá šipka značí viditelnou dráhu meteoru.

static map
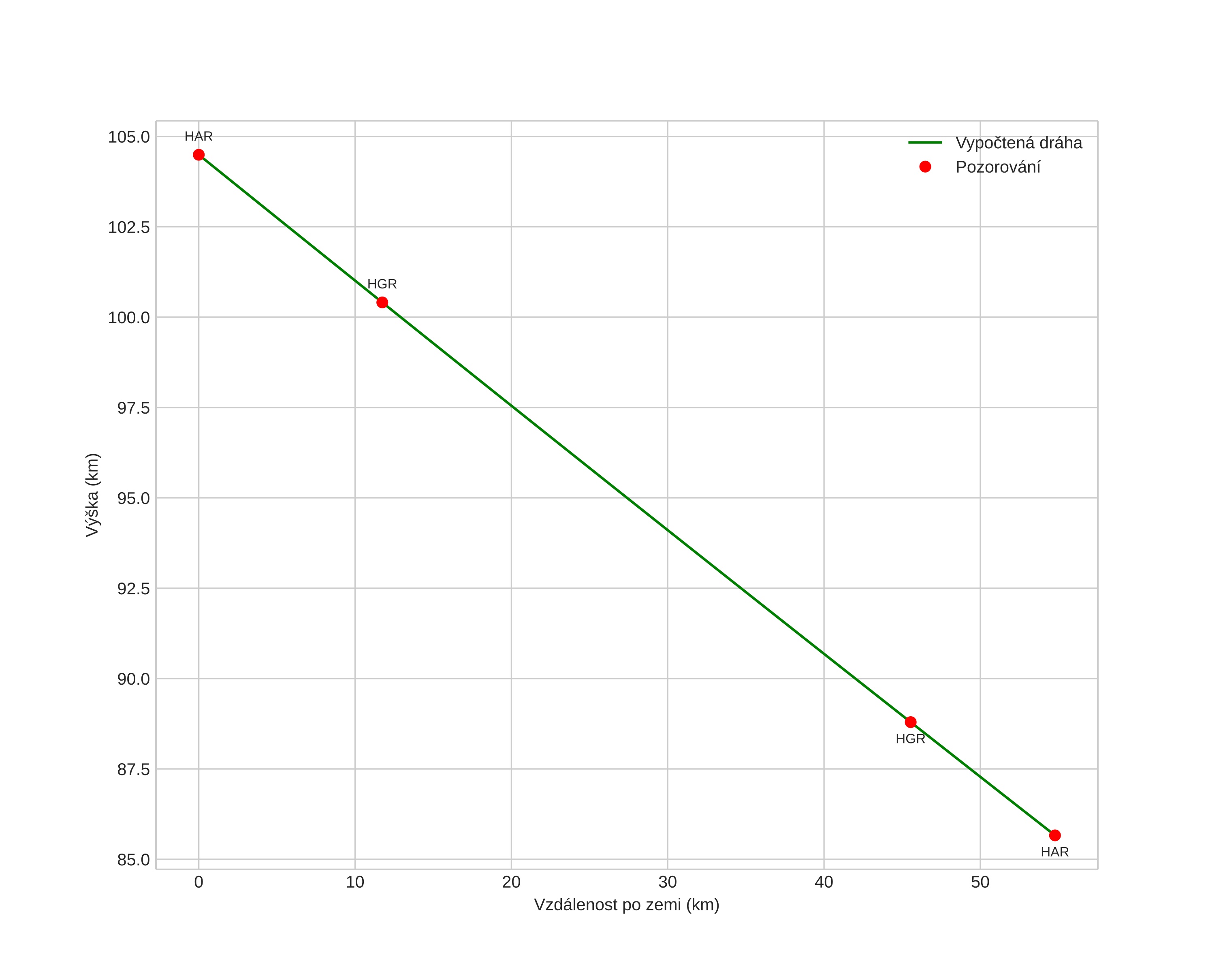
height profile
Atmosférická dráha meteoru:
Počáteční výška: 102,1 km
Konečná výška: 88,5 km
Počáteční poloha: 60,177N 5,058E
Konečná poloha: 60,436N 4,820E
Směr: 335,7°
Sklon: 23,3°
VstupnĂ­ rychlost: 73,0 km/s
Rektascenze radiantu: 09:44 (146,1°)
Deklinace radiantu: -4,6°
MeteorickĂ˝ roj: sporadickĂ˝
Elementy dráhy meteoroidu:
Vzdálenost v periheliu: 0,744 AU
Excentricita: 1,380
Sklon dráhy: 147,9°
Délka vzestupného uzlu: 37,9°
Argument perihelia: 304,5°
Střední anomálie: 10,3°
Epocha: 2024 OCT 31 05:17:08
orbit plot

NeinteraktivnĂ­ graf | InteraktivnĂ­ graf

position vs time
speed and acceleration