🇳🇴 🇬🇧 🇩🇪 🇨🇿 🇫🇮

Meteor Ågotnesin yllä 2024-10-31 05:17:08 UTC

KML-tiedosto  |  Interaktiivinen kartta

Kartta näyttää meteorin suuntahavainnot. Vaaleammat viivat näyttävät suunnat havaintoasemilta meteorin ilmestyessä, ja tummemmat viivat näyttävät, missä se viimeksi nähtiin. Sininen nuoli näyttää meteorin näkyvän lennon.

static map
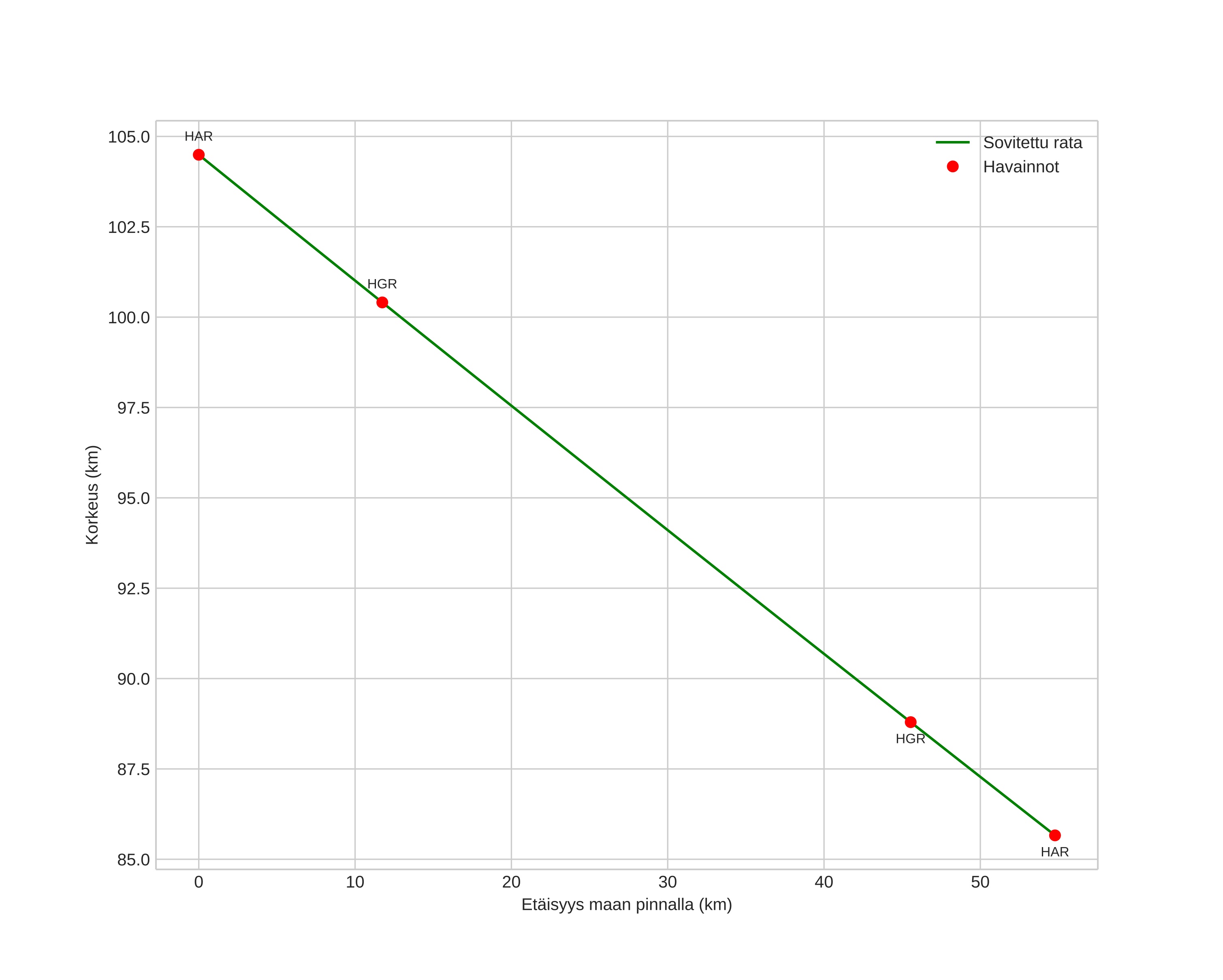
height profile
Meteorin ilmakehärata:
Alkukorkeus: 102,1 km
Loppukorkeus: 88,5 km
Alkupiste: 60,177N 5,058E
Loppupiste: 60,436N 4,820E
Suunta: 335,7°
Kallistuskulma: 23,3°
Tulonopeus: 73,0 km/s
Radiantin R,A,: 09:44 (146,1°)
Radiantin Dekl,: -4,6°
Meteoriparvi: Sporadinen
Meteoroidin rataelementit:
Perihelietäisyys: 0,744 AU
Eksentrisyys: 1,380
Inklinaatio: 147,9°
Nousevan solmun pituus: 37,9°
Perihelin argumentti: 304,5°
Keskianomalia: 10,3°
Epookki: 2024 OCT 31 05:17:08
orbit plot

Ei-interaktiivinen kuvaaja | Interaktiivinen kuvaaja

position vs time
speed and acceleration