🇳🇴 🇬🇧 🇩🇪 🇨🇿 🇫🇮

Meteor, poloha: Drøbak 2024-10-31 17:46:51 UTC

Soubor KML  |  InteraktivnĂ­ mapa

Mapa zobrazuje dráhy meteoru. Světlejší čáry ukazují směry od pozorovacích stanic při objevení se meteoru a tmavší čáry, kde byl naposledy viděn. Modrá šipka značí viditelnou dráhu meteoru.

static map
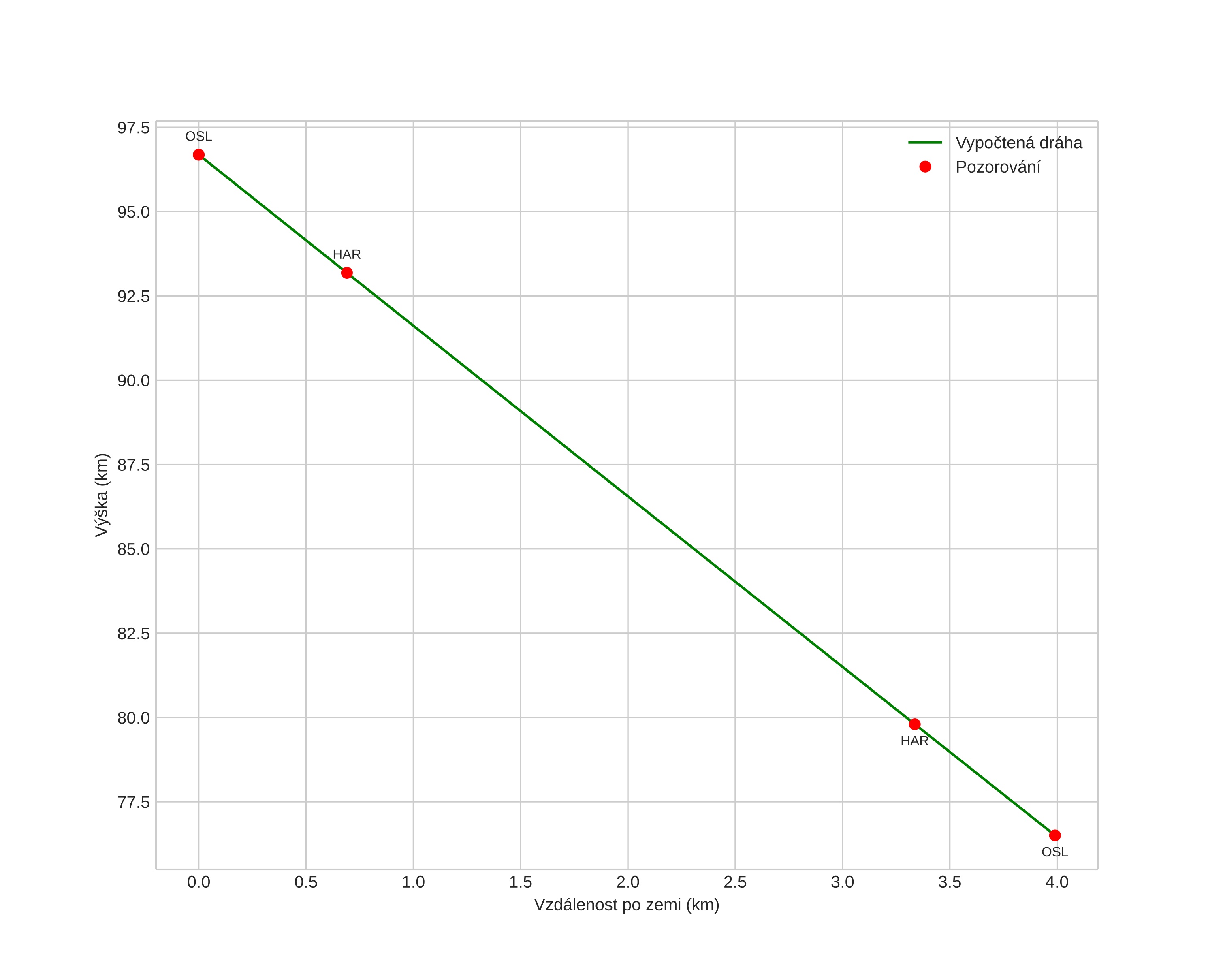
height profile
Atmosférická dráha meteoru:
Počáteční výška: 107,6 km
Konečná výška: 76,9 km
Počáteční poloha: 59,706N 10,523E
Konečná poloha: 59,658N 10,597E
Směr: 142,1°
Sklon: 77,5°
VstupnĂ­ rychlost: 30,8 km/s
Rektascenze radiantu: 19:38 (294,6°)
Deklinace radiantu: 68,2°
MeteorickĂ˝ roj: sporadickĂ˝
Elementy dráhy meteoroidu:
Vzdálenost v periheliu: 0,979 AU
Excentricita: 1,037
Sklon dráhy: 42,1°
Délka vzestupného uzlu: 218,5°
Argument perihelia: 193,2°
Střední anomálie: -0,1°
Epocha: 2024 OCT 31 17:46:51
orbit plot

NeinteraktivnĂ­ graf | InteraktivnĂ­ graf

position vs time
speed and acceleration