🇳🇴 🇬🇧 🇩🇪 🇨🇿 🇫🇮

Meteor Drøbakin yllä 2024-10-31 17:46:51 UTC

KML-tiedosto  |  Interaktiivinen kartta

Kartta näyttää meteorin suuntahavainnot. Vaaleammat viivat näyttävät suunnat havaintoasemilta meteorin ilmestyessä, ja tummemmat viivat näyttävät, missä se viimeksi nähtiin. Sininen nuoli näyttää meteorin näkyvän lennon.

static map
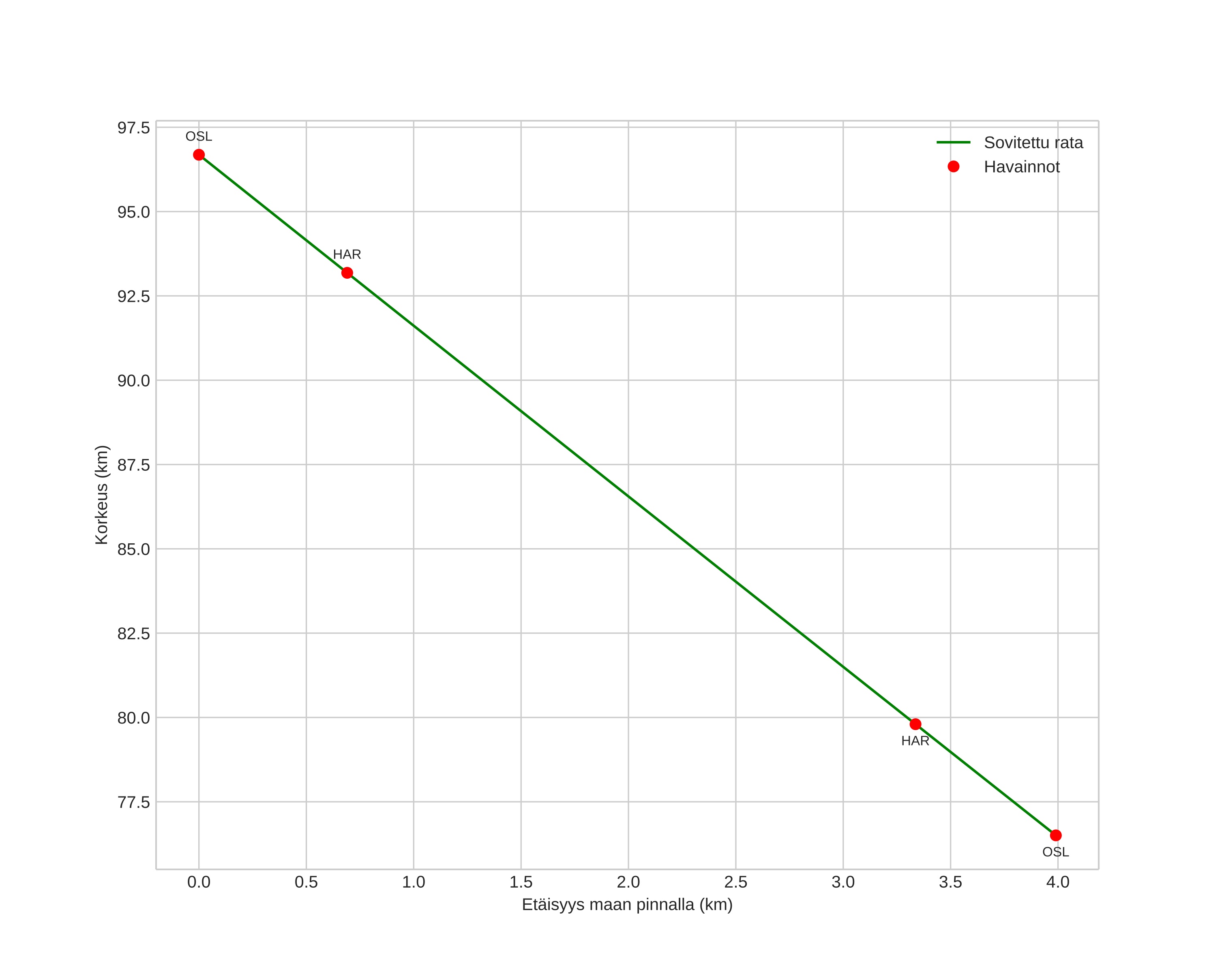
height profile
Meteorin ilmakehärata:
Alkukorkeus: 107,6 km
Loppukorkeus: 76,9 km
Alkupiste: 59,706N 10,523E
Loppupiste: 59,658N 10,597E
Suunta: 142,1°
Kallistuskulma: 77,5°
Tulonopeus: 30,8 km/s
Radiantin R,A,: 19:38 (294,6°)
Radiantin Dekl,: 68,2°
Meteoriparvi: Sporadinen
Meteoroidin rataelementit:
Perihelietäisyys: 0,979 AU
Eksentrisyys: 1,037
Inklinaatio: 42,1°
Nousevan solmun pituus: 218,5°
Perihelin argumentti: 193,2°
Keskianomalia: -0,1°
Epookki: 2024 OCT 31 17:46:51
orbit plot

Ei-interaktiivinen kuvaaja | Interaktiivinen kuvaaja

position vs time
speed and acceleration