🇳🇴 🇬🇧 🇩🇪 🇨🇿 🇫🇮

Meteor, poloha: Knappstad 2024-10-31 17:55:14 UTC

Soubor KML  |  InteraktivnĂ­ mapa

Mapa zobrazuje dráhy meteoru. Světlejší čáry ukazují směry od pozorovacích stanic při objevení se meteoru a tmavší čáry, kde byl naposledy viděn. Modrá šipka značí viditelnou dráhu meteoru.

static map
height profile
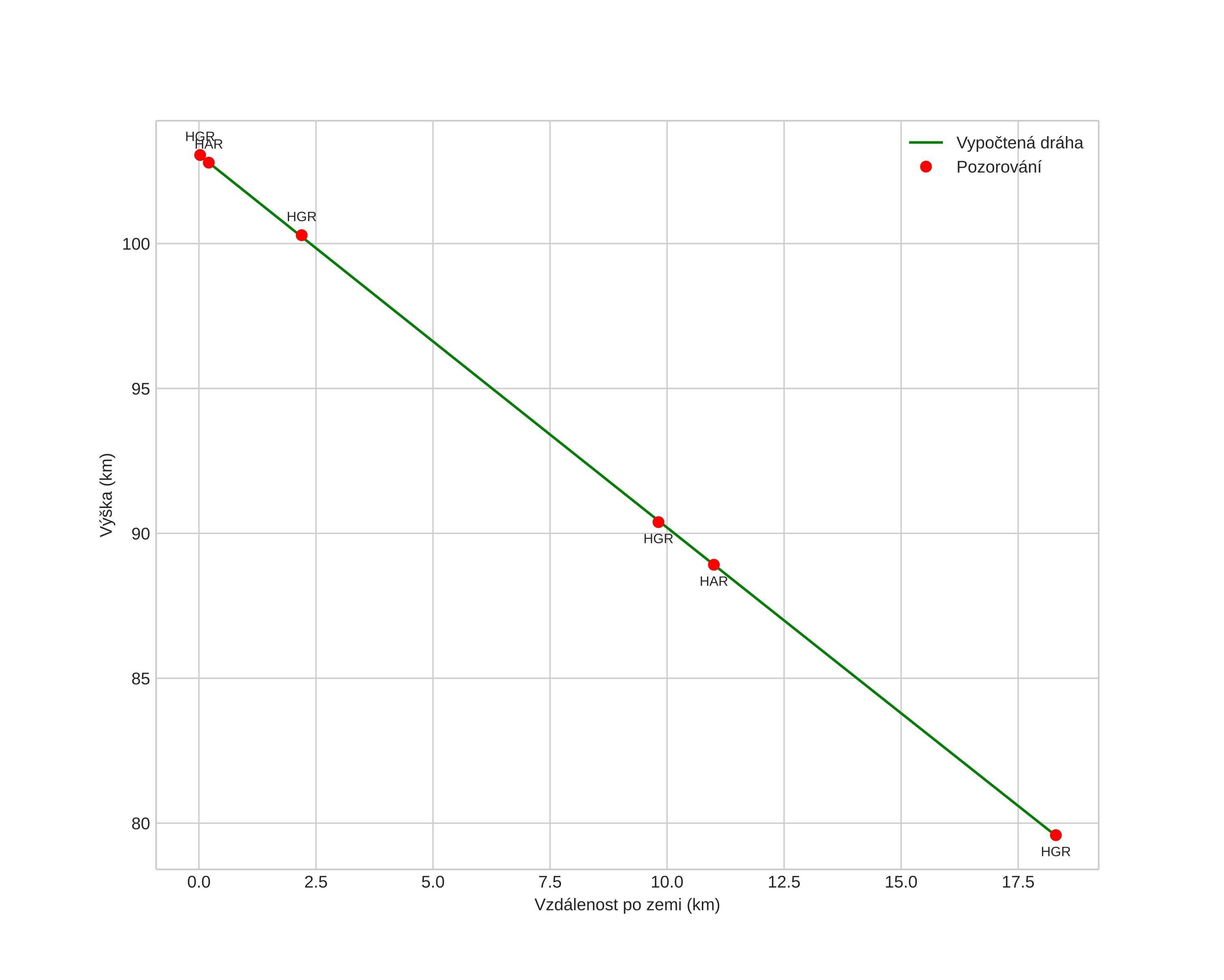
Atmosférická dráha meteoru:
Počáteční výška: 103,6 km
Konečná výška: 79,3 km
Počáteční poloha: 59,622N 10,748E
Konečná poloha: 59,527N 11,012E
Směr: 125,2°
Sklon: 53,2°
VstupnĂ­ rychlost: 28,2 km/s
Rektascenze radiantu: 15:58 (239,6°)
Deklinace radiantu: 58,6°
MeteorickĂ˝ roj: sporadickĂ˝
Elementy dráhy meteoroidu:
Vzdálenost v periheliu: 0,957 AU
Excentricita: 0,589
Sklon dráhy: 42,6°
Délka vzestupného uzlu: 218,5°
Argument perihelia: 154,6°
Střední anomálie: 5,4°
Epocha: 2024 OCT 31 17:55:14
orbit plot

NeinteraktivnĂ­ graf | InteraktivnĂ­ graf

position vs time
speed and acceleration