🇳🇴 🇬🇧 🇩🇪 🇨🇿 🇫🇮

Meteor Knappstadin yllä 2024-10-31 17:55:14 UTC

KML-tiedosto  |  Interaktiivinen kartta

Kartta näyttää meteorin suuntahavainnot. Vaaleammat viivat näyttävät suunnat havaintoasemilta meteorin ilmestyessä, ja tummemmat viivat näyttävät, missä se viimeksi nähtiin. Sininen nuoli näyttää meteorin näkyvän lennon.

static map
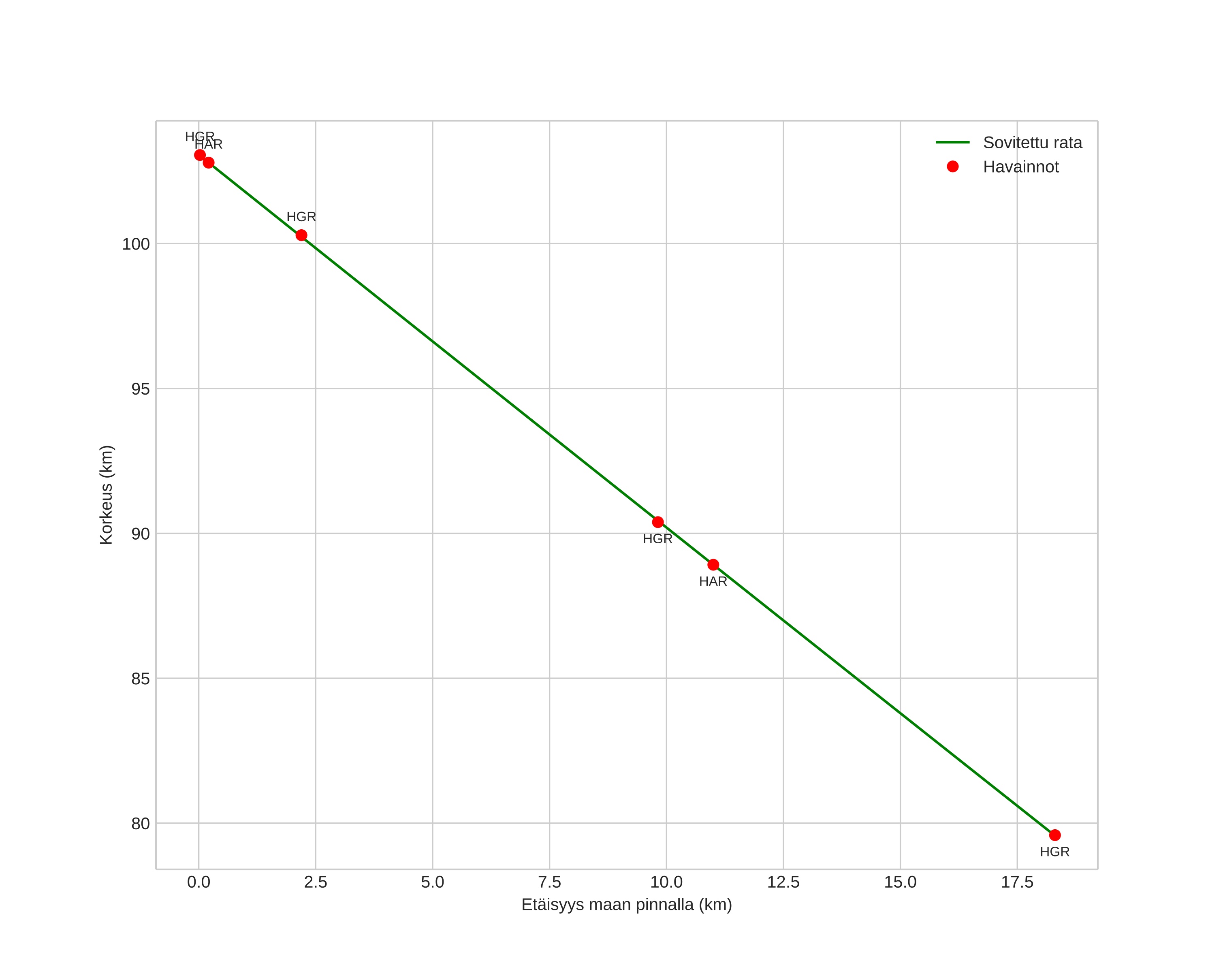
height profile
Meteorin ilmakehärata:
Alkukorkeus: 103,6 km
Loppukorkeus: 79,3 km
Alkupiste: 59,622N 10,748E
Loppupiste: 59,527N 11,012E
Suunta: 125,2°
Kallistuskulma: 53,2°
Tulonopeus: 28,2 km/s
Radiantin R,A,: 15:58 (239,6°)
Radiantin Dekl,: 58,6°
Meteoriparvi: Sporadinen
Meteoroidin rataelementit:
Perihelietäisyys: 0,957 AU
Eksentrisyys: 0,589
Inklinaatio: 42,6°
Nousevan solmun pituus: 218,5°
Perihelin argumentti: 154,6°
Keskianomalia: 5,4°
Epookki: 2024 OCT 31 17:55:14
orbit plot

Ei-interaktiivinen kuvaaja | Interaktiivinen kuvaaja

position vs time
speed and acceleration