🇳🇴 🇬🇧 🇩🇪 🇨🇿 🇫🇮

Meteor, poloha: Bjørkelangen 2024-10-31 18:34:11 UTC

Soubor KML  |  InteraktivnĂ­ mapa

Mapa zobrazuje dráhy meteoru. Světlejší čáry ukazují směry od pozorovacích stanic při objevení se meteoru a tmavší čáry, kde byl naposledy viděn. Modrá šipka značí viditelnou dráhu meteoru.

static map
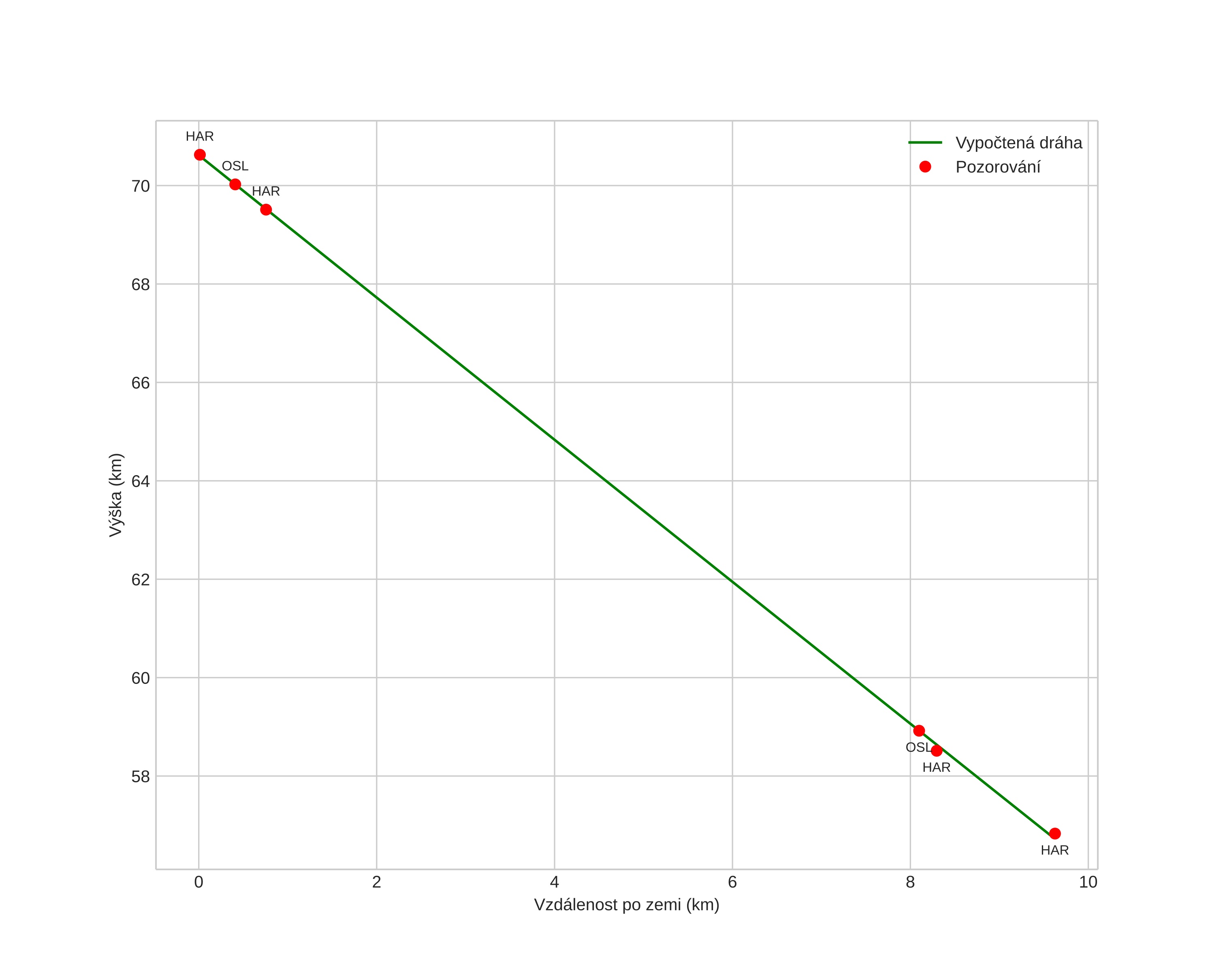
height profile
Atmosférická dráha meteoru:
Počáteční výška: 75,9 km
Konečná výška: 51,6 km
Počáteční poloha: 59,640N 11,538E
Konečná poloha: 59,776N 11,654E
Směr: 23,2°
Sklon: 55,8°
VstupnĂ­ rychlost: 14,8 km/s
Rektascenze radiantu: 20:52 (313,1°)
Deklinace radiantu: 19,6°
MeteorickĂ˝ roj: sporadickĂ˝
Elementy dráhy meteoroidu:
Vzdálenost v periheliu: 0,988 AU
Excentricita: 0,646
Sklon dráhy: 8,6°
Délka vzestupného uzlu: 218,5°
Argument perihelia: 189,0°
Střední anomálie: 358,5°
Epocha: 2024 OCT 31 18:34:11
orbit plot

NeinteraktivnĂ­ graf | InteraktivnĂ­ graf

position vs time
speed and acceleration