🇳🇴 🇬🇧 🇩🇪 🇨🇿 🇫🇮

Meteor Bjørkelangenin yllä 2024-10-31 18:34:11 UTC

KML-tiedosto  |  Interaktiivinen kartta

Kartta näyttää meteorin suuntahavainnot. Vaaleammat viivat näyttävät suunnat havaintoasemilta meteorin ilmestyessä, ja tummemmat viivat näyttävät, missä se viimeksi nähtiin. Sininen nuoli näyttää meteorin näkyvän lennon.

static map
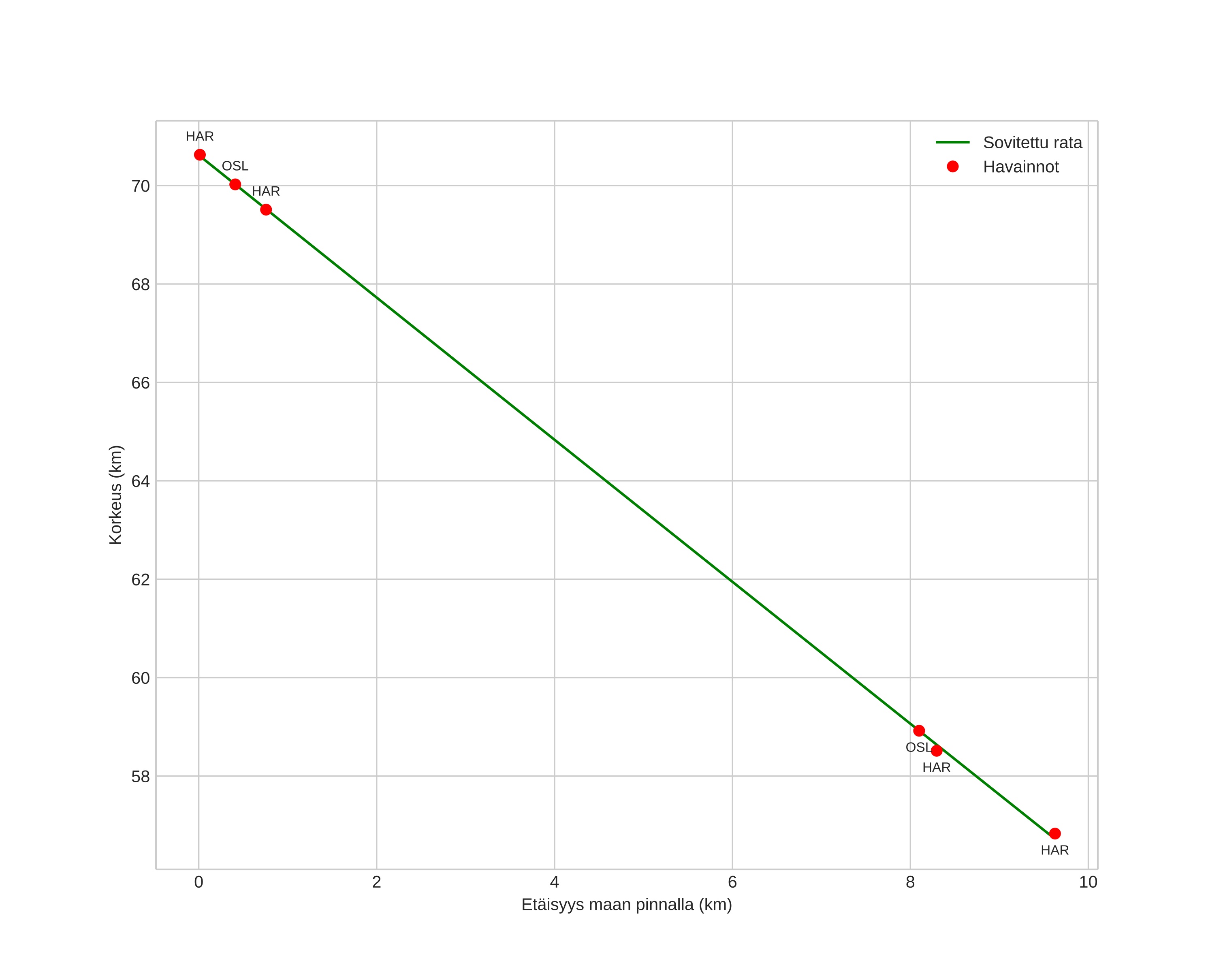
height profile
Meteorin ilmakehärata:
Alkukorkeus: 75,9 km
Loppukorkeus: 51,6 km
Alkupiste: 59,640N 11,538E
Loppupiste: 59,776N 11,654E
Suunta: 23,2°
Kallistuskulma: 55,8°
Tulonopeus: 14,8 km/s
Radiantin R,A,: 20:52 (313,1°)
Radiantin Dekl,: 19,6°
Meteoriparvi: Sporadinen
Meteoroidin rataelementit:
Perihelietäisyys: 0,988 AU
Eksentrisyys: 0,646
Inklinaatio: 8,6°
Nousevan solmun pituus: 218,5°
Perihelin argumentti: 189,0°
Keskianomalia: 358,5°
Epookki: 2024 OCT 31 18:34:11
orbit plot

Ei-interaktiivinen kuvaaja | Interaktiivinen kuvaaja

position vs time
speed and acceleration