🇳🇴 🇬🇧 🇩🇪 🇨🇿 🇫🇮

Meteor, poloha: Hatteng 2024-10-31 23:01:38 UTC

Soubor KML  |  InteraktivnĂ­ mapa

Mapa zobrazuje dráhy meteoru. Světlejší čáry ukazují směry od pozorovacích stanic při objevení se meteoru a tmavší čáry, kde byl naposledy viděn. Modrá šipka značí viditelnou dráhu meteoru.

static map
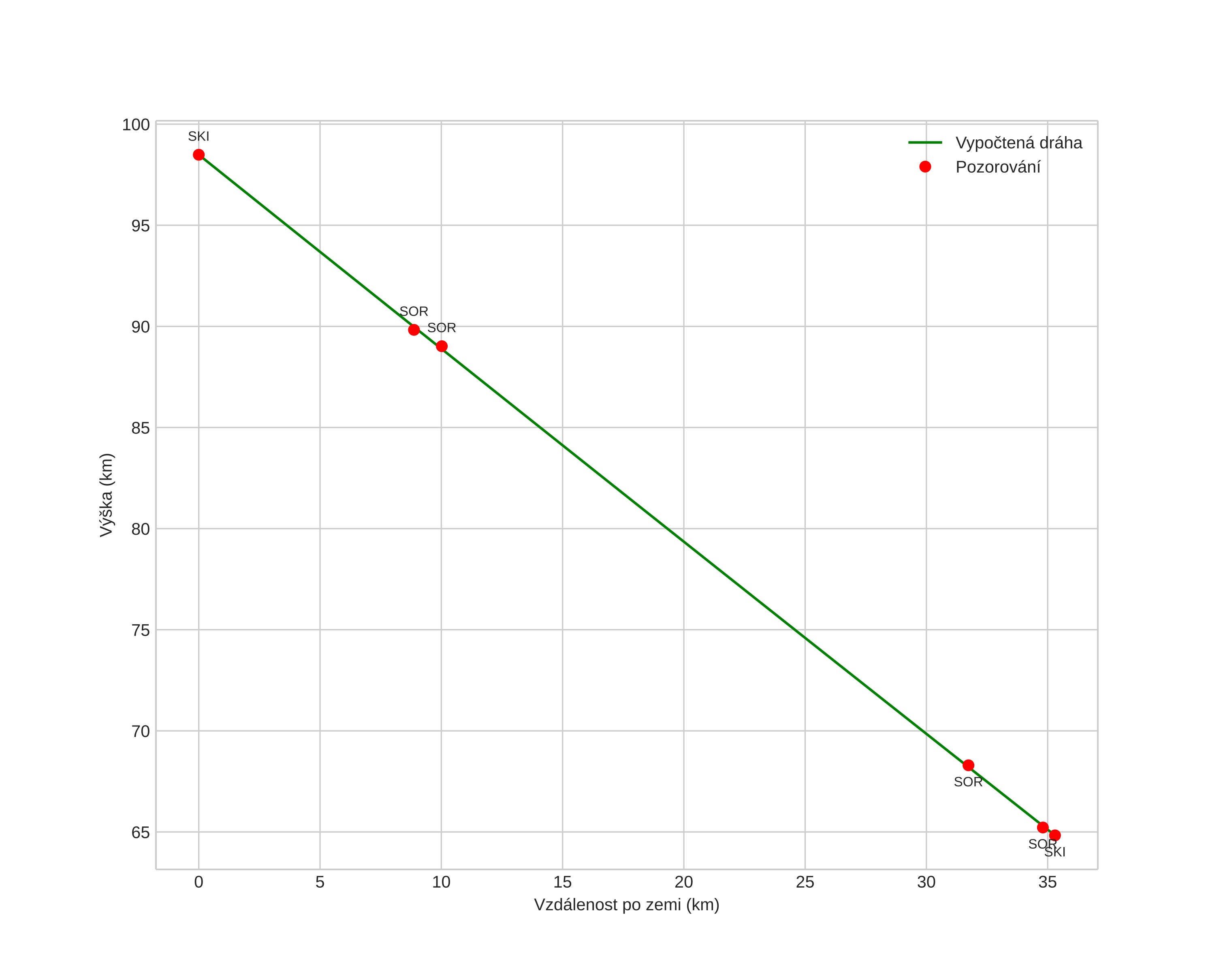
height profile
Atmosférická dráha meteoru:
Počáteční výška: 98,6 km
Konečná výška: 64,8 km
Počáteční poloha: 68,712N 19,720E
Konečná poloha: 69,028N 19,606E
Směr: 352,6°
Sklon: 43,7°
VstupnĂ­ rychlost: 31,1 km/s
Rektascenze radiantu: 03:23 (50,9°)
Deklinace radiantu: 20,8°
MeteorickĂ˝ roj: SevernĂ­ Tauridy
Elementy dráhy meteoroidu:
Vzdálenost v periheliu: 0,305 AU
Excentricita: 0,837
Sklon dráhy: 2,7°
Délka vzestupného uzlu: 218,6°
Argument perihelia: 301,4°
Střední anomálie: 343,9°
Epocha: 2024 OCT 31 23:01:38
orbit plot

NeinteraktivnĂ­ graf | InteraktivnĂ­ graf

position vs time
speed and acceleration