🇳🇴 🇬🇧 🇩🇪 🇨🇿 🇫🇮

Meteor Hattengin yllä 2024-10-31 23:01:38 UTC

KML-tiedosto  |  Interaktiivinen kartta

Kartta näyttää meteorin suuntahavainnot. Vaaleammat viivat näyttävät suunnat havaintoasemilta meteorin ilmestyessä, ja tummemmat viivat näyttävät, missä se viimeksi nähtiin. Sininen nuoli näyttää meteorin näkyvän lennon.

static map
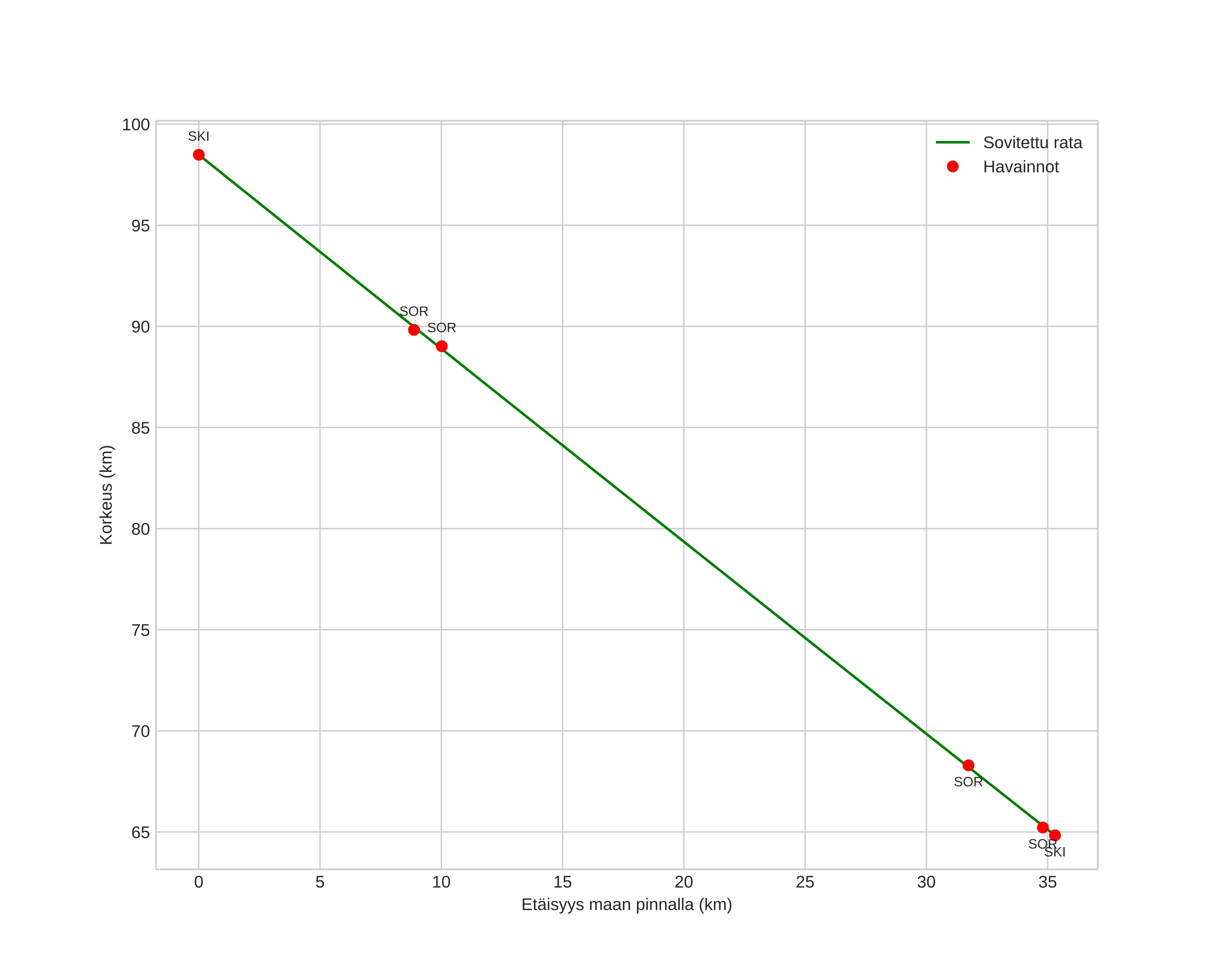
height profile
Meteorin ilmakehärata:
Alkukorkeus: 98,6 km
Loppukorkeus: 64,8 km
Alkupiste: 68,712N 19,720E
Loppupiste: 69,028N 19,606E
Suunta: 352,6°
Kallistuskulma: 43,7°
Tulonopeus: 31,1 km/s
Radiantin R,A,: 03:23 (50,9°)
Radiantin Dekl,: 20,8°
Meteoriparvi: Pohjoiset tauridit
Meteoroidin rataelementit:
Perihelietäisyys: 0,305 AU
Eksentrisyys: 0,837
Inklinaatio: 2,7°
Nousevan solmun pituus: 218,6°
Perihelin argumentti: 301,4°
Keskianomalia: 343,9°
Epookki: 2024 OCT 31 23:01:38
orbit plot

Ei-interaktiivinen kuvaaja | Interaktiivinen kuvaaja

position vs time
speed and acceleration