🇳🇴 🇬🇧 🇩🇪 🇨🇿 🇫🇮

Meteor, poloha: Rotnes 2024-10-31 23:16:46 UTC

Soubor KML  |  InteraktivnĂ­ mapa

Mapa zobrazuje dráhy meteoru. Světlejší čáry ukazují směry od pozorovacích stanic při objevení se meteoru a tmavší čáry, kde byl naposledy viděn. Modrá šipka značí viditelnou dráhu meteoru.

static map
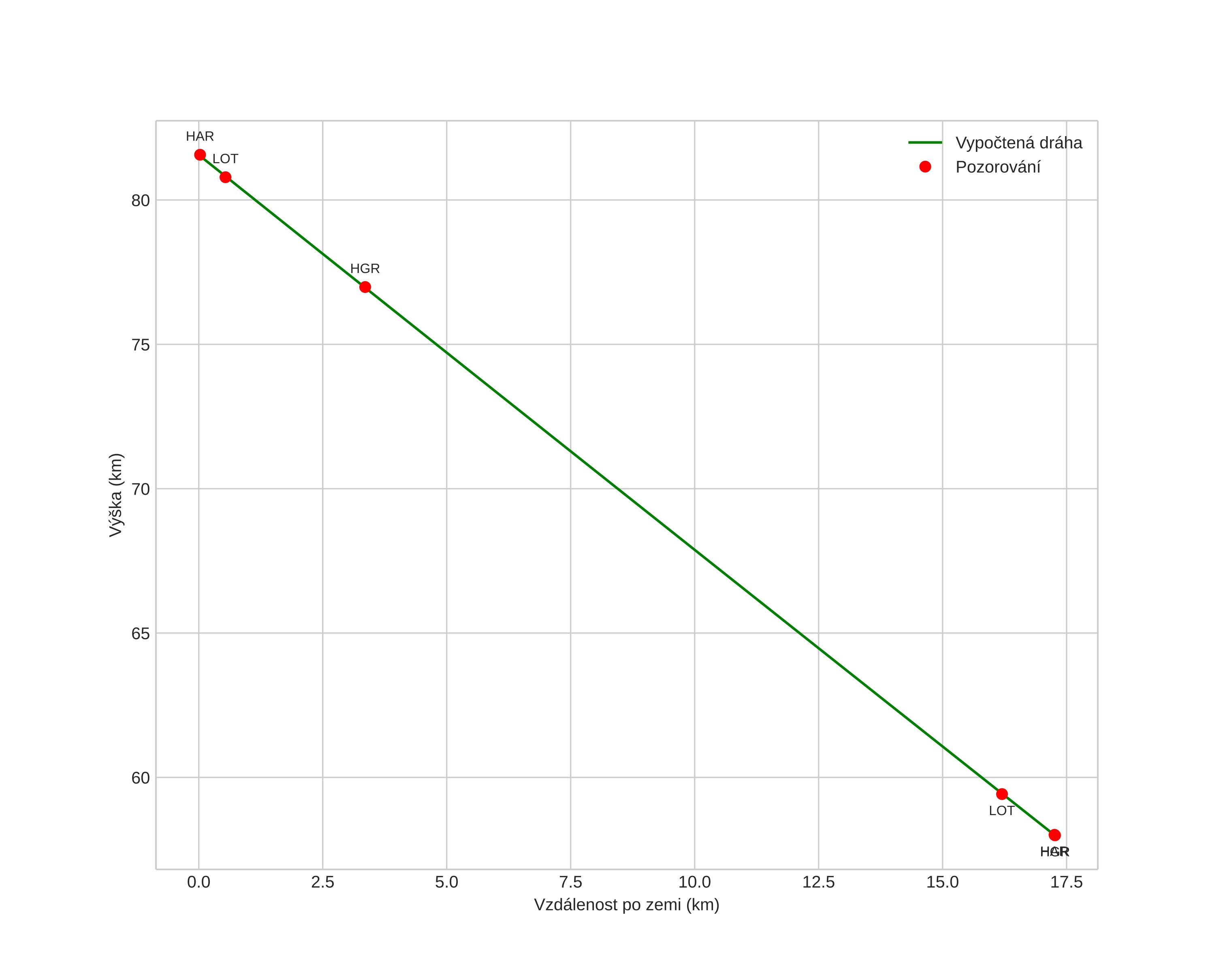
height profile
Atmosférická dráha meteoru:
Počáteční výška: 82,8 km
Konečná výška: 57,3 km
Počáteční poloha: 59,905N 10,830E
Konečná poloha: 60,071N 10,869E
Směr: 6,7°
Sklon: 53,9°
VstupnĂ­ rychlost: 24,0 km/s
Rektascenze radiantu: 02:20 (35,2°)
Deklinace radiantu: 21,5°
MeteorickĂ˝ roj: sporadickĂ˝
Elementy dráhy meteoroidu:
Vzdálenost v periheliu: 0,568 AU
Excentricita: 0,716
Sklon dráhy: 5,1°
Délka vzestupného uzlu: 218,7°
Argument perihelia: 271,4°
Střední anomálie: 343,8°
Epocha: 2024 OCT 31 23:16:46
orbit plot

NeinteraktivnĂ­ graf | InteraktivnĂ­ graf

position vs time
speed and acceleration