🇳🇴 🇬🇧 🇩🇪 🇨🇿 🇫🇮

Meteor Rotnesin yllä 2024-10-31 23:16:46 UTC

KML-tiedosto  |  Interaktiivinen kartta

Kartta näyttää meteorin suuntahavainnot. Vaaleammat viivat näyttävät suunnat havaintoasemilta meteorin ilmestyessä, ja tummemmat viivat näyttävät, missä se viimeksi nähtiin. Sininen nuoli näyttää meteorin näkyvän lennon.

static map
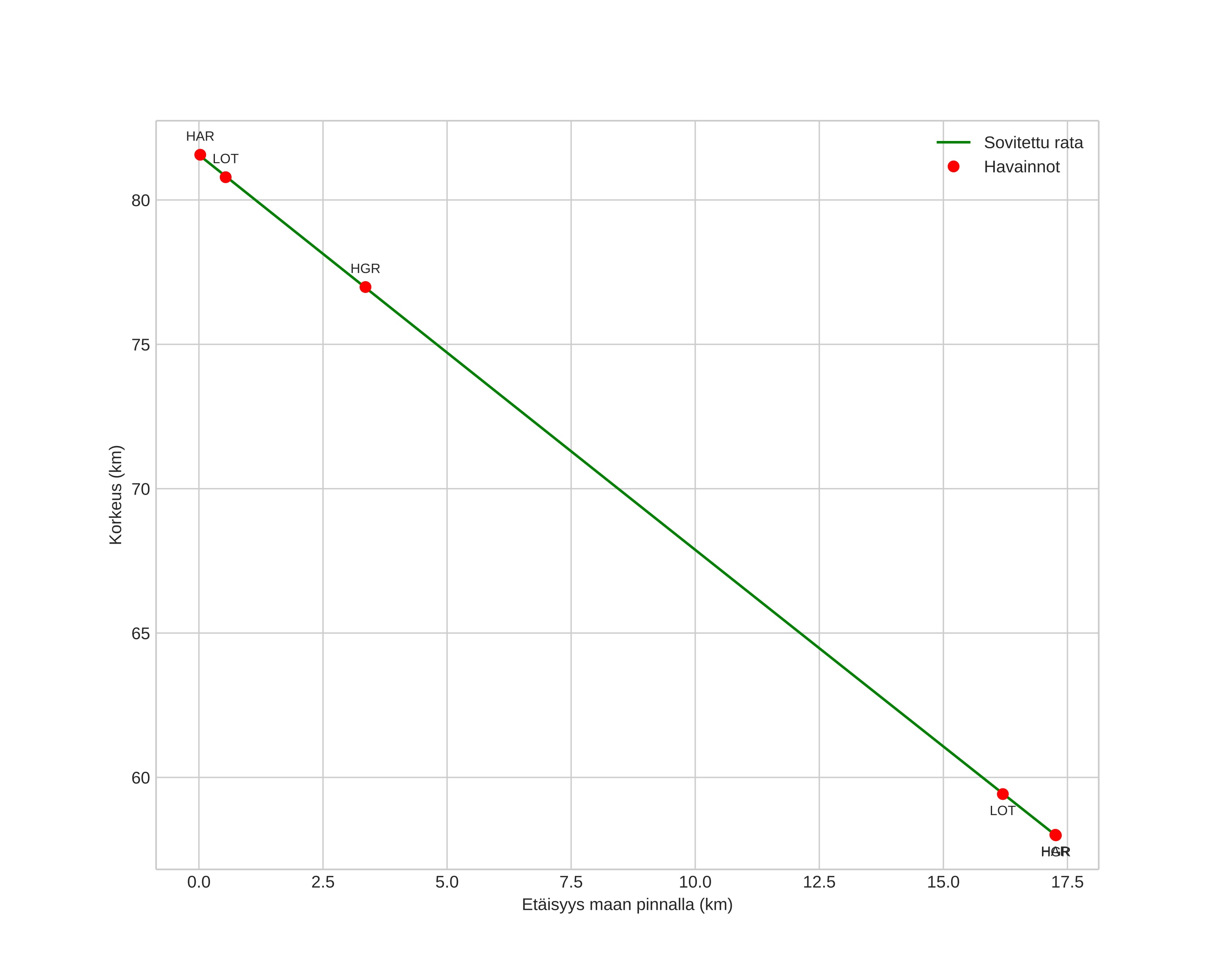
height profile
Meteorin ilmakehärata:
Alkukorkeus: 82,8 km
Loppukorkeus: 57,3 km
Alkupiste: 59,905N 10,830E
Loppupiste: 60,071N 10,869E
Suunta: 6,7°
Kallistuskulma: 53,9°
Tulonopeus: 24,0 km/s
Radiantin R,A,: 02:20 (35,2°)
Radiantin Dekl,: 21,5°
Meteoriparvi: Sporadinen
Meteoroidin rataelementit:
Perihelietäisyys: 0,568 AU
Eksentrisyys: 0,716
Inklinaatio: 5,1°
Nousevan solmun pituus: 218,7°
Perihelin argumentti: 271,4°
Keskianomalia: 343,8°
Epookki: 2024 OCT 31 23:16:46
orbit plot

Ei-interaktiivinen kuvaaja | Interaktiivinen kuvaaja

position vs time
speed and acceleration