🇳🇴 🇬🇧 🇩🇪 🇨🇿 🇫🇮

Meteor, poloha: Voss 2024-11-01 00:37:44 UTC

Soubor KML  |  InteraktivnĂ­ mapa

Mapa zobrazuje dráhy meteoru. Světlejší čáry ukazují směry od pozorovacích stanic při objevení se meteoru a tmavší čáry, kde byl naposledy viděn. Modrá šipka značí viditelnou dráhu meteoru.

static map
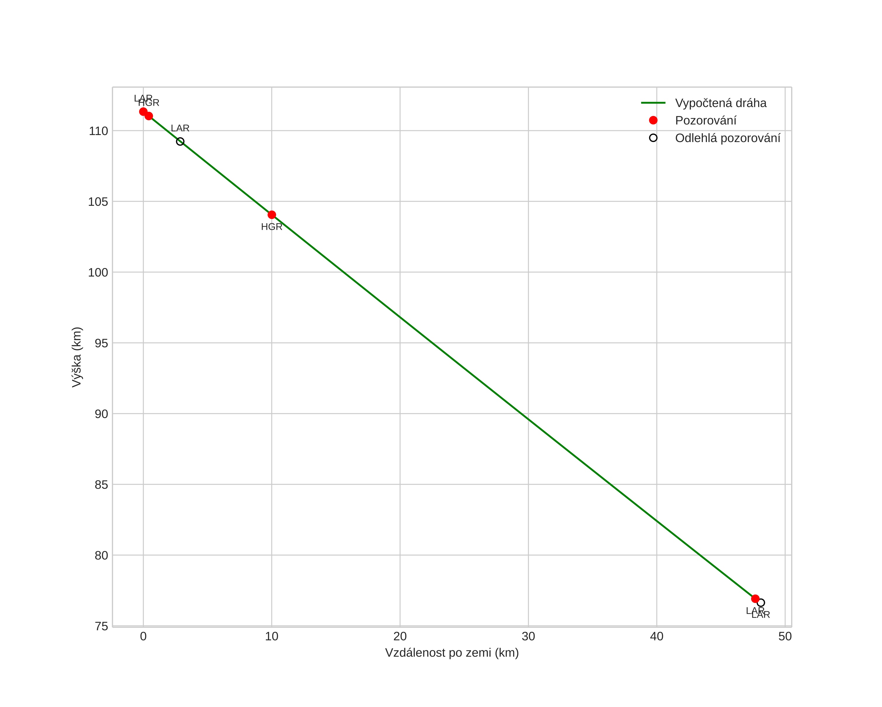
height profile
Atmosférická dráha meteoru:
Počáteční výška: 113,4 km
Konečná výška: 77,2 km
Počáteční poloha: 60,301N 7,156E
Konečná poloha: 60,542N 6,321E
Směr: 300,6°
Sklon: 34,3°
VstupnĂ­ rychlost: 68,4 km/s
Rektascenze radiantu: 06:58 (104,7°)
Deklinace radiantu: 16,0°
MeteorickĂ˝ roj: Orionidy
Elementy dráhy meteoroidu:
Vzdálenost v periheliu: 0,559 AU
Excentricita: 1,012
Sklon dráhy: 165,7°
Délka vzestupného uzlu: 38,7°
Argument perihelia: 82,4°
Střední anomálie: -0,1°
Epocha: 2024 NOV 01 00:37:44
orbit plot

NeinteraktivnĂ­ graf | InteraktivnĂ­ graf

position vs time
speed and acceleration