🇳🇴 🇬🇧 🇩🇪 🇨🇿 🇫🇮

Meteor Vossin yllä 2024-11-01 00:37:44 UTC

KML-tiedosto  |  Interaktiivinen kartta

Kartta näyttää meteorin suuntahavainnot. Vaaleammat viivat näyttävät suunnat havaintoasemilta meteorin ilmestyessä, ja tummemmat viivat näyttävät, missä se viimeksi nähtiin. Sininen nuoli näyttää meteorin näkyvän lennon.

static map
height profile
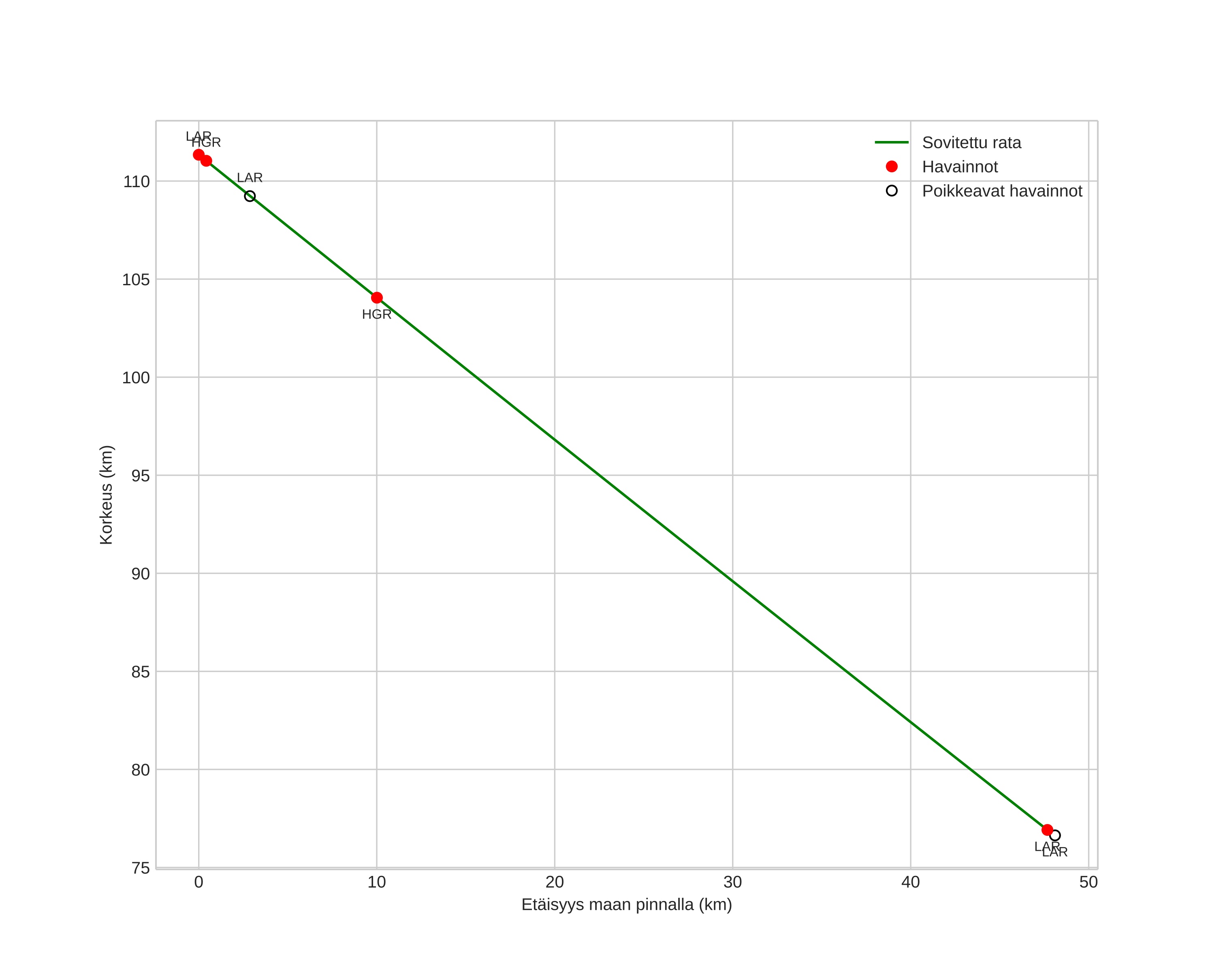
Meteorin ilmakehärata:
Alkukorkeus: 113,4 km
Loppukorkeus: 77,2 km
Alkupiste: 60,301N 7,156E
Loppupiste: 60,542N 6,321E
Suunta: 300,6°
Kallistuskulma: 34,3°
Tulonopeus: 68,4 km/s
Radiantin R,A,: 06:58 (104,7°)
Radiantin Dekl,: 16,0°
Meteoriparvi: Orionidit
Meteoroidin rataelementit:
Perihelietäisyys: 0,559 AU
Eksentrisyys: 1,012
Inklinaatio: 165,7°
Nousevan solmun pituus: 38,7°
Perihelin argumentti: 82,4°
Keskianomalia: -0,1°
Epookki: 2024 NOV 01 00:37:44
orbit plot

Ei-interaktiivinen kuvaaja | Interaktiivinen kuvaaja

position vs time
speed and acceleration