🇳🇴 🇬🇧 🇩🇪 🇨🇿 🇫🇮

Meteor, poloha: Orsa 2024-11-01 19:25:54 UTC

Soubor KML  |  InteraktivnĂ­ mapa

Mapa zobrazuje dráhy meteoru. Světlejší čáry ukazují směry od pozorovacích stanic při objevení se meteoru a tmavší čáry, kde byl naposledy viděn. Modrá šipka značí viditelnou dráhu meteoru.

static map
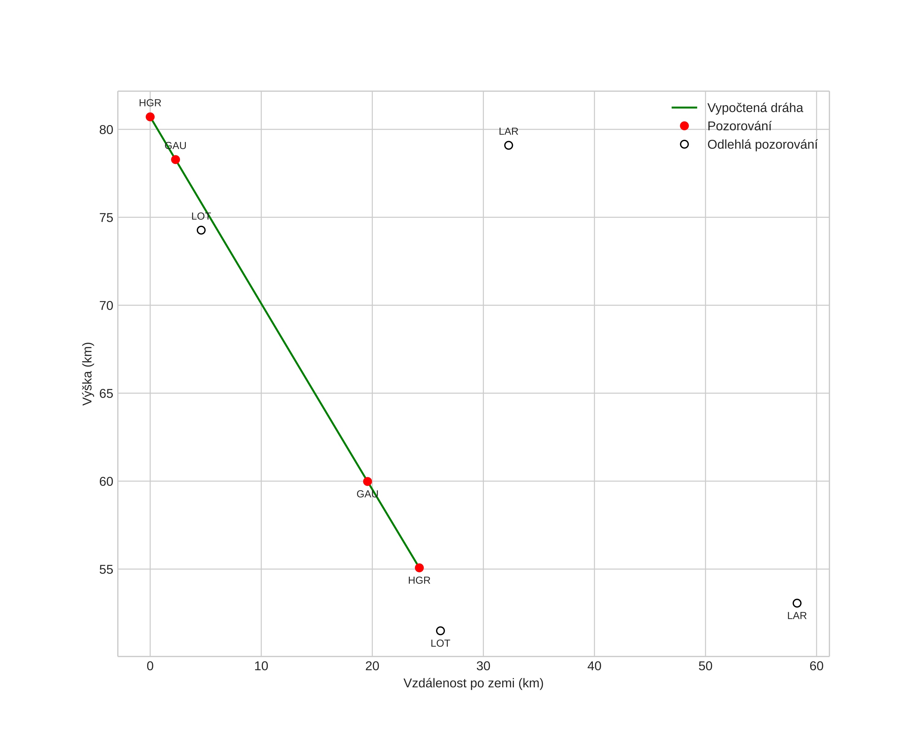
height profile
Atmosférická dráha meteoru:
Počáteční výška: 83,9 km
Konečná výška: 55,8 km
Počáteční poloha: 61,590N 14,274E
Konečná poloha: 61,371N 14,520E
Směr: 151,7°
Sklon: 45,4°
VstupnĂ­ rychlost: 33,3 km/s
Rektascenze radiantu: 14:57 (224,3°)
Deklinace radiantu: 65,7°
MeteorickĂ˝ roj: sporadickĂ˝
Elementy dráhy meteoroidu:
Vzdálenost v periheliu: 0,970 AU
Excentricita: 0,565
Sklon dráhy: 54,0°
Délka vzestupného uzlu: 219,5°
Argument perihelia: 159,7°
Střední anomálie: 4,7°
Epocha: 2024 NOV 01 19:25:54
orbit plot

NeinteraktivnĂ­ graf | InteraktivnĂ­ graf

position vs time
speed and acceleration