🇳🇴 🇬🇧 🇩🇪 🇨🇿 🇫🇮

Meteor Orsan yllä 2024-11-01 19:25:54 UTC

KML-tiedosto  |  Interaktiivinen kartta

Kartta näyttää meteorin suuntahavainnot. Vaaleammat viivat näyttävät suunnat havaintoasemilta meteorin ilmestyessä, ja tummemmat viivat näyttävät, missä se viimeksi nähtiin. Sininen nuoli näyttää meteorin näkyvän lennon.

static map
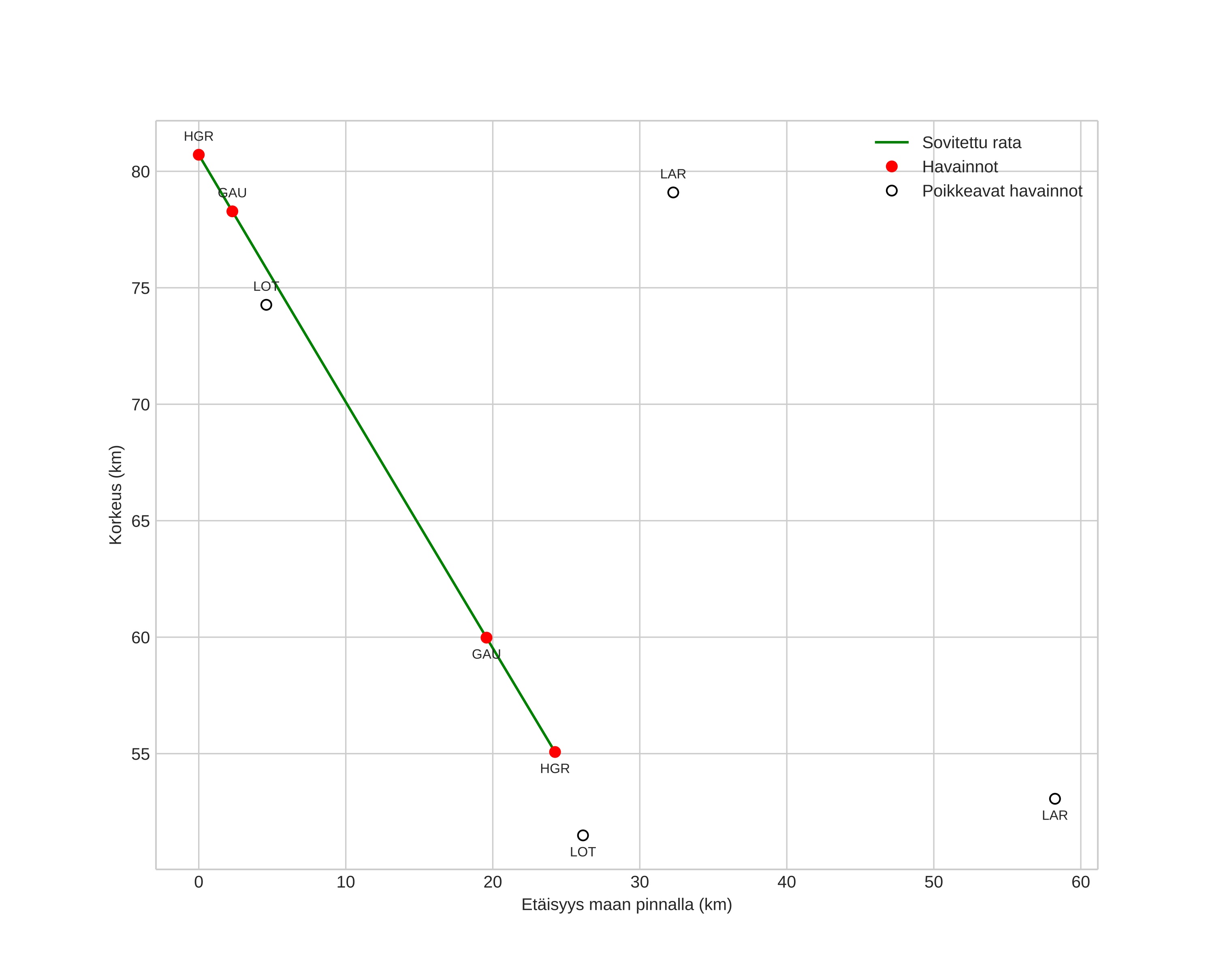
height profile
Meteorin ilmakehärata:
Alkukorkeus: 83,9 km
Loppukorkeus: 55,8 km
Alkupiste: 61,590N 14,274E
Loppupiste: 61,371N 14,520E
Suunta: 151,7°
Kallistuskulma: 45,4°
Tulonopeus: 33,3 km/s
Radiantin R,A,: 14:57 (224,3°)
Radiantin Dekl,: 65,7°
Meteoriparvi: Sporadinen
Meteoroidin rataelementit:
Perihelietäisyys: 0,970 AU
Eksentrisyys: 0,565
Inklinaatio: 54,0°
Nousevan solmun pituus: 219,5°
Perihelin argumentti: 159,7°
Keskianomalia: 4,7°
Epookki: 2024 NOV 01 19:25:54
orbit plot

Ei-interaktiivinen kuvaaja | Interaktiivinen kuvaaja

position vs time
speed and acceleration