🇳🇴 🇬🇧 🇩🇪 🇨🇿 🇫🇮

Meteor, poloha: Ryggebyen 2024-11-01 22:57:14 UTC

Soubor KML  |  InteraktivnĂ­ mapa

Mapa zobrazuje dráhy meteoru. Světlejší čáry ukazují směry od pozorovacích stanic při objevení se meteoru a tmavší čáry, kde byl naposledy viděn. Modrá šipka značí viditelnou dráhu meteoru.

static map
height profile
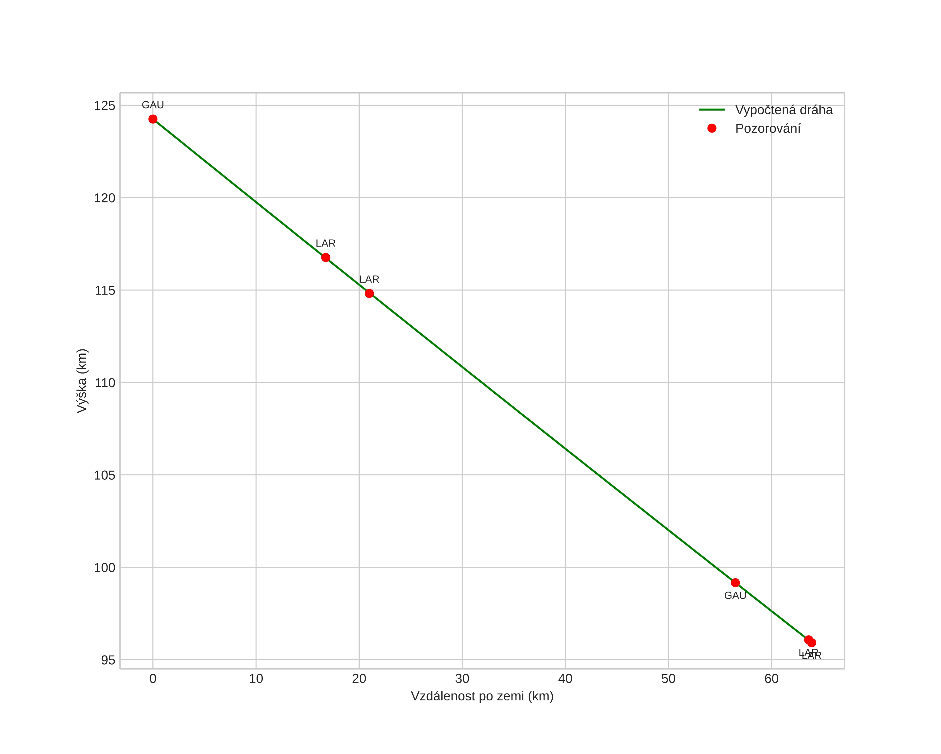
Atmosférická dráha meteoru:
Počáteční výška: 125,2 km
Konečná výška: 95,8 km
Počáteční poloha: 59,377N 11,947E
Konečná poloha: 59,335N 10,763E
Směr: 266,6°
Sklon: 23,6°
VstupnĂ­ rychlost: 64,8 km/s
Rektascenze radiantu: 07:52 (118,0°)
Deklinace radiantu: 21,5°
MeteorickĂ˝ roj: sporadickĂ˝
Elementy dráhy meteoroidu:
Vzdálenost v periheliu: 0,716 AU
Excentricita: 0,571
Sklon dráhy: 178,9°
Délka vzestupného uzlu: 219,8°
Argument perihelia: 256,7°
Střední anomálie: 338,2°
Epocha: 2024 NOV 01 22:57:14
orbit plot

NeinteraktivnĂ­ graf | InteraktivnĂ­ graf

position vs time
speed and acceleration