🇳🇴 🇬🇧 🇩🇪 🇨🇿 🇫🇮

Meteor Ryggebyenin yllä 2024-11-01 22:57:14 UTC

KML-tiedosto  |  Interaktiivinen kartta

Kartta näyttää meteorin suuntahavainnot. Vaaleammat viivat näyttävät suunnat havaintoasemilta meteorin ilmestyessä, ja tummemmat viivat näyttävät, missä se viimeksi nähtiin. Sininen nuoli näyttää meteorin näkyvän lennon.

static map
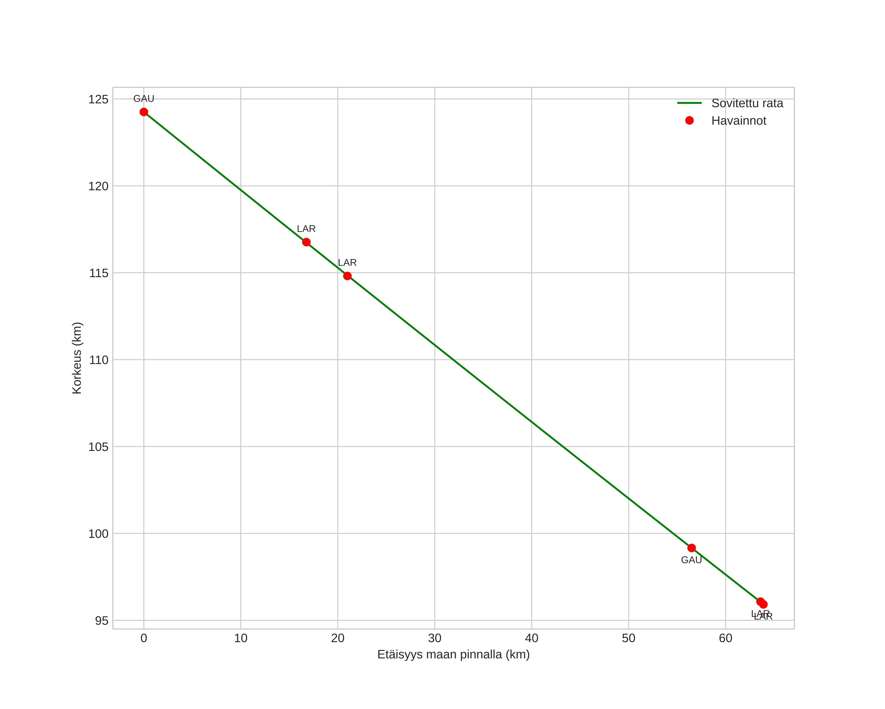
height profile
Meteorin ilmakehärata:
Alkukorkeus: 125,2 km
Loppukorkeus: 95,8 km
Alkupiste: 59,377N 11,947E
Loppupiste: 59,335N 10,763E
Suunta: 266,6°
Kallistuskulma: 23,6°
Tulonopeus: 64,8 km/s
Radiantin R,A,: 07:52 (118,0°)
Radiantin Dekl,: 21,5°
Meteoriparvi: Sporadinen
Meteoroidin rataelementit:
Perihelietäisyys: 0,716 AU
Eksentrisyys: 0,571
Inklinaatio: 178,9°
Nousevan solmun pituus: 219,8°
Perihelin argumentti: 256,7°
Keskianomalia: 338,2°
Epookki: 2024 NOV 01 22:57:14
orbit plot

Ei-interaktiivinen kuvaaja | Interaktiivinen kuvaaja

position vs time
speed and acceleration