🇳🇴 🇬🇧 🇩🇪 🇨🇿 🇫🇮

Meteor, poloha: Dokka 2024-11-03 19:14:18 UTC

Soubor KML  |  InteraktivnĂ­ mapa

Mapa zobrazuje dráhy meteoru. Světlejší čáry ukazují směry od pozorovacích stanic při objevení se meteoru a tmavší čáry, kde byl naposledy viděn. Modrá šipka značí viditelnou dráhu meteoru.

static map
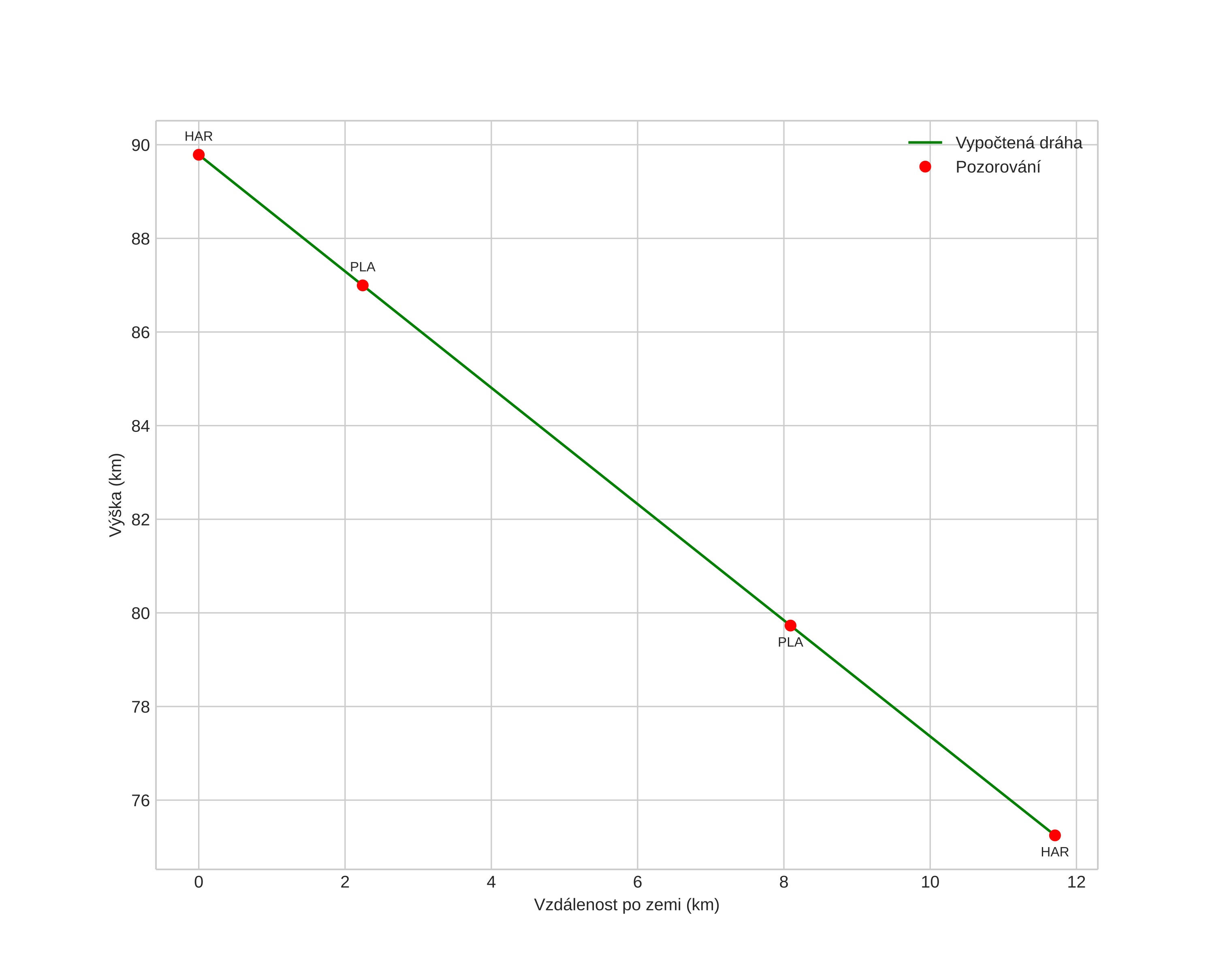
height profile
Atmosférická dráha meteoru:
Počáteční výška: 90,3 km
Konečná výška: 75,0 km
Počáteční poloha: 60,402N 10,188E
Konečná poloha: 60,499N 10,079E
Směr: 330,9°
Sklon: 51,2°
VstupnĂ­ rychlost: 18,3 km/s
Rektascenze radiantu: 00:07 (1,8°)
Deklinace radiantu: 19,4°
MeteorickĂ˝ roj: sporadickĂ˝
Elementy dráhy meteoroidu:
Vzdálenost v periheliu: 0,883 AU
Excentricita: 0,777
Sklon dráhy: 6,5°
Délka vzestupného uzlu: 221,5°
Argument perihelia: 221,5°
Střední anomálie: 356,4°
Epocha: 2024 NOV 03 19:14:18
orbit plot

NeinteraktivnĂ­ graf | InteraktivnĂ­ graf

position vs time
speed and acceleration

Plassen (PLA) cam4

gnomonic
Videa
Obrázky
• Původní
Textové soubory
• Detekce
• Pozorování
• Souřadnice
• Protokol
Jasnost