🇳🇴 🇬🇧 🇩🇪 🇨🇿 🇫🇮

Meteor Dokkan yllä 2024-11-03 19:14:18 UTC

KML-tiedosto  |  Interaktiivinen kartta

Kartta näyttää meteorin suuntahavainnot. Vaaleammat viivat näyttävät suunnat havaintoasemilta meteorin ilmestyessä, ja tummemmat viivat näyttävät, missä se viimeksi nähtiin. Sininen nuoli näyttää meteorin näkyvän lennon.

static map
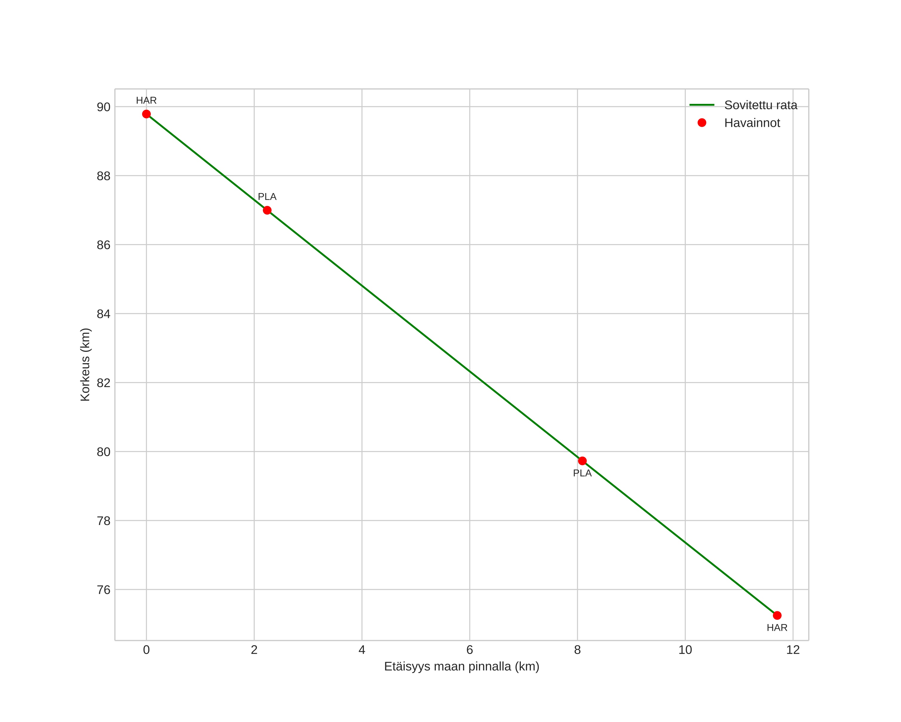
height profile
Meteorin ilmakehärata:
Alkukorkeus: 90,3 km
Loppukorkeus: 75,0 km
Alkupiste: 60,402N 10,188E
Loppupiste: 60,499N 10,079E
Suunta: 330,9°
Kallistuskulma: 51,2°
Tulonopeus: 18,3 km/s
Radiantin R,A,: 00:07 (1,8°)
Radiantin Dekl,: 19,4°
Meteoriparvi: Sporadinen
Meteoroidin rataelementit:
Perihelietäisyys: 0,883 AU
Eksentrisyys: 0,777
Inklinaatio: 6,5°
Nousevan solmun pituus: 221,5°
Perihelin argumentti: 221,5°
Keskianomalia: 356,4°
Epookki: 2024 NOV 03 19:14:18
orbit plot

Ei-interaktiivinen kuvaaja | Interaktiivinen kuvaaja

position vs time
speed and acceleration

Plassen (PLA) cam4

gnomonic
Videot:
Kuvat:
• Alkuperäinen
Tekstitiedostot:
• Havaintoraportti
• Observaatio
• Koordinaatit
• Loki
Kirkkaus