🇳🇴 🇬🇧 🇩🇪 🇨🇿 🇫🇮

Meteor, poloha: Torsby 2024-11-04 00:58:20 UTC

Soubor KML  |  InteraktivnĂ­ mapa

Mapa zobrazuje dráhy meteoru. Světlejší čáry ukazují směry od pozorovacích stanic při objevení se meteoru a tmavší čáry, kde byl naposledy viděn. Modrá šipka značí viditelnou dráhu meteoru.

static map
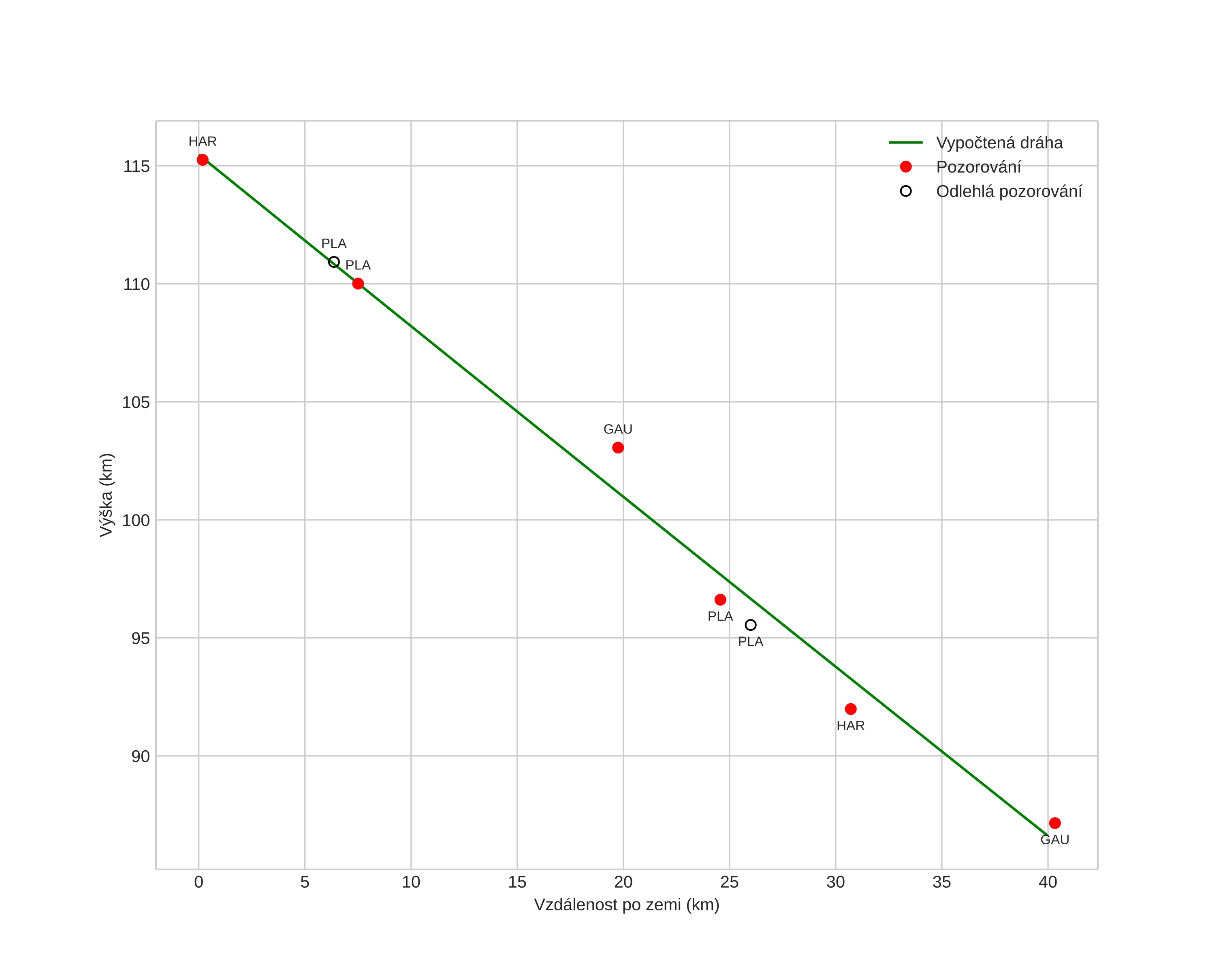
height profile
Atmosférická dráha meteoru:
Počáteční výška: 116,1 km
Konečná výška: 86,0 km
Počáteční poloha: 59,796N 12,980E
Konečná poloha: 60,115N 12,620E
Směr: 330,7°
Sklon: 36,4°
VstupnĂ­ rychlost: 54,0 km/s
Rektascenze radiantu: 06:17 (94,3°)
Deklinace radiantu: 8,6°
MeteorickĂ˝ roj: sporadickĂ˝
Elementy dráhy meteoroidu:
Vzdálenost v periheliu: 0,170 AU
Excentricita: 0,902
Sklon dráhy: 128,0°
Délka vzestupného uzlu: 41,8°
Argument perihelia: 138,3°
Střední anomálie: 343,8°
Epocha: 2024 NOV 04 00:58:20
orbit plot

NeinteraktivnĂ­ graf | InteraktivnĂ­ graf

position vs time
speed and acceleration

Plassen (PLA) cam3

gnomonic
Videa
Obrázky
• Původní
Textové soubory
• Detekce
• Pozorování
• Souřadnice
• Protokol
Jasnost

Plassen (PLA) cam4

gnomonic
Videa
Obrázky
• Původní
Textové soubory
• Detekce
• Pozorování
• Souřadnice
• Protokol
Jasnost