🇳🇴 🇬🇧 🇩🇪 🇨🇿 🇫🇮

Meteor Torsbyn yllä 2024-11-04 00:58:20 UTC

KML-tiedosto  |  Interaktiivinen kartta

Kartta näyttää meteorin suuntahavainnot. Vaaleammat viivat näyttävät suunnat havaintoasemilta meteorin ilmestyessä, ja tummemmat viivat näyttävät, missä se viimeksi nähtiin. Sininen nuoli näyttää meteorin näkyvän lennon.

static map
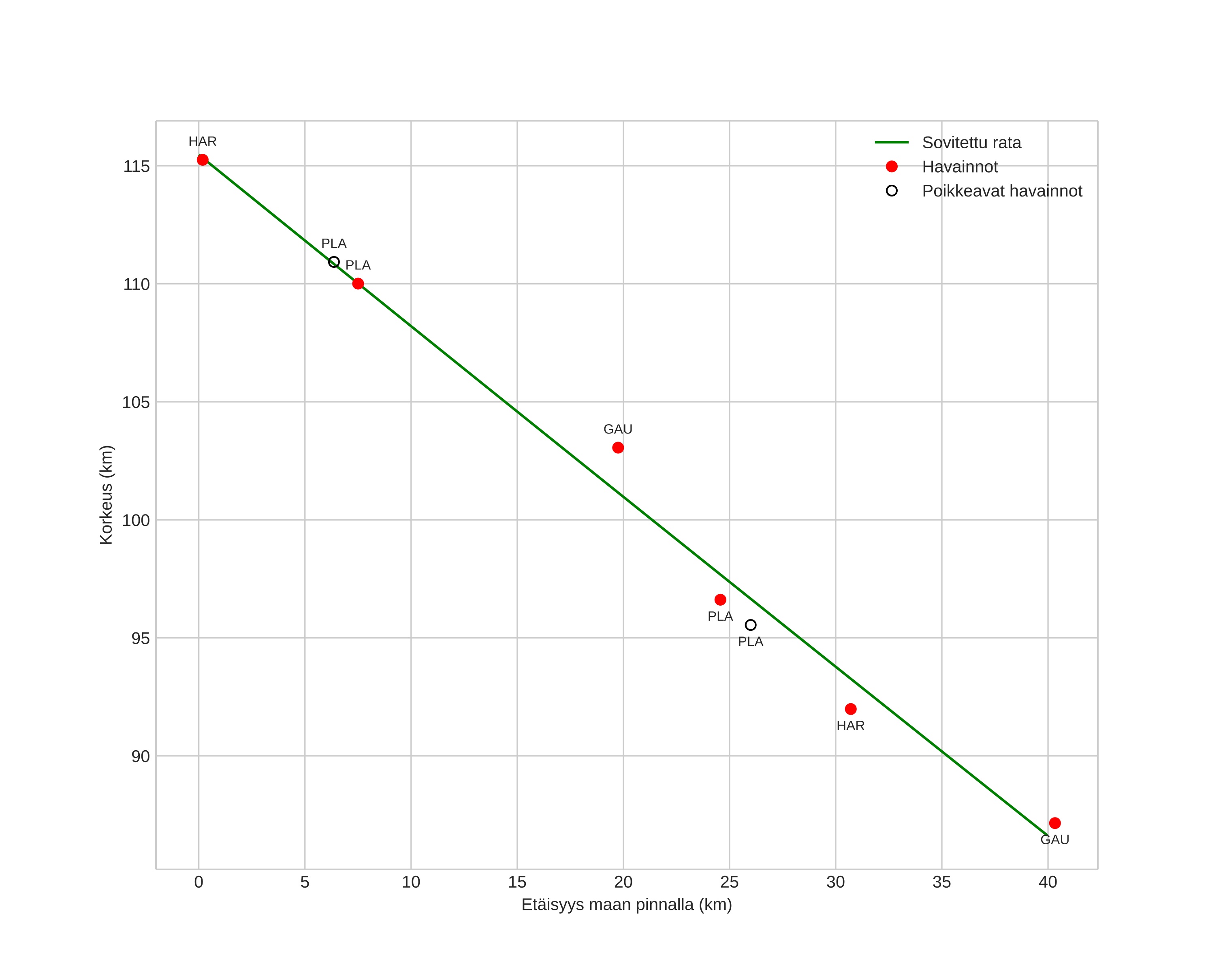
height profile
Meteorin ilmakehärata:
Alkukorkeus: 116,1 km
Loppukorkeus: 86,0 km
Alkupiste: 59,796N 12,980E
Loppupiste: 60,115N 12,620E
Suunta: 330,7°
Kallistuskulma: 36,4°
Tulonopeus: 54,0 km/s
Radiantin R,A,: 06:17 (94,3°)
Radiantin Dekl,: 8,6°
Meteoriparvi: Sporadinen
Meteoroidin rataelementit:
Perihelietäisyys: 0,170 AU
Eksentrisyys: 0,902
Inklinaatio: 128,0°
Nousevan solmun pituus: 41,8°
Perihelin argumentti: 138,3°
Keskianomalia: 343,8°
Epookki: 2024 NOV 04 00:58:20
orbit plot

Ei-interaktiivinen kuvaaja | Interaktiivinen kuvaaja

position vs time
speed and acceleration

Plassen (PLA) cam3

gnomonic
Videot:
Kuvat:
• Alkuperäinen
Tekstitiedostot:
• Havaintoraportti
• Observaatio
• Koordinaatit
• Loki
Kirkkaus

Plassen (PLA) cam4

gnomonic
Videot:
Kuvat:
• Alkuperäinen
Tekstitiedostot:
• Havaintoraportti
• Observaatio
• Koordinaatit
• Loki
Kirkkaus