🇳🇴 🇬🇧 🇩🇪 🇨🇿 🇫🇮

Meteor, poloha: Otta 2024-11-04 00:58:56 UTC

Soubor KML  |  InteraktivnĂ­ mapa

Mapa zobrazuje dráhy meteoru. Světlejší čáry ukazují směry od pozorovacích stanic při objevení se meteoru a tmavší čáry, kde byl naposledy viděn. Modrá šipka značí viditelnou dráhu meteoru.

static map
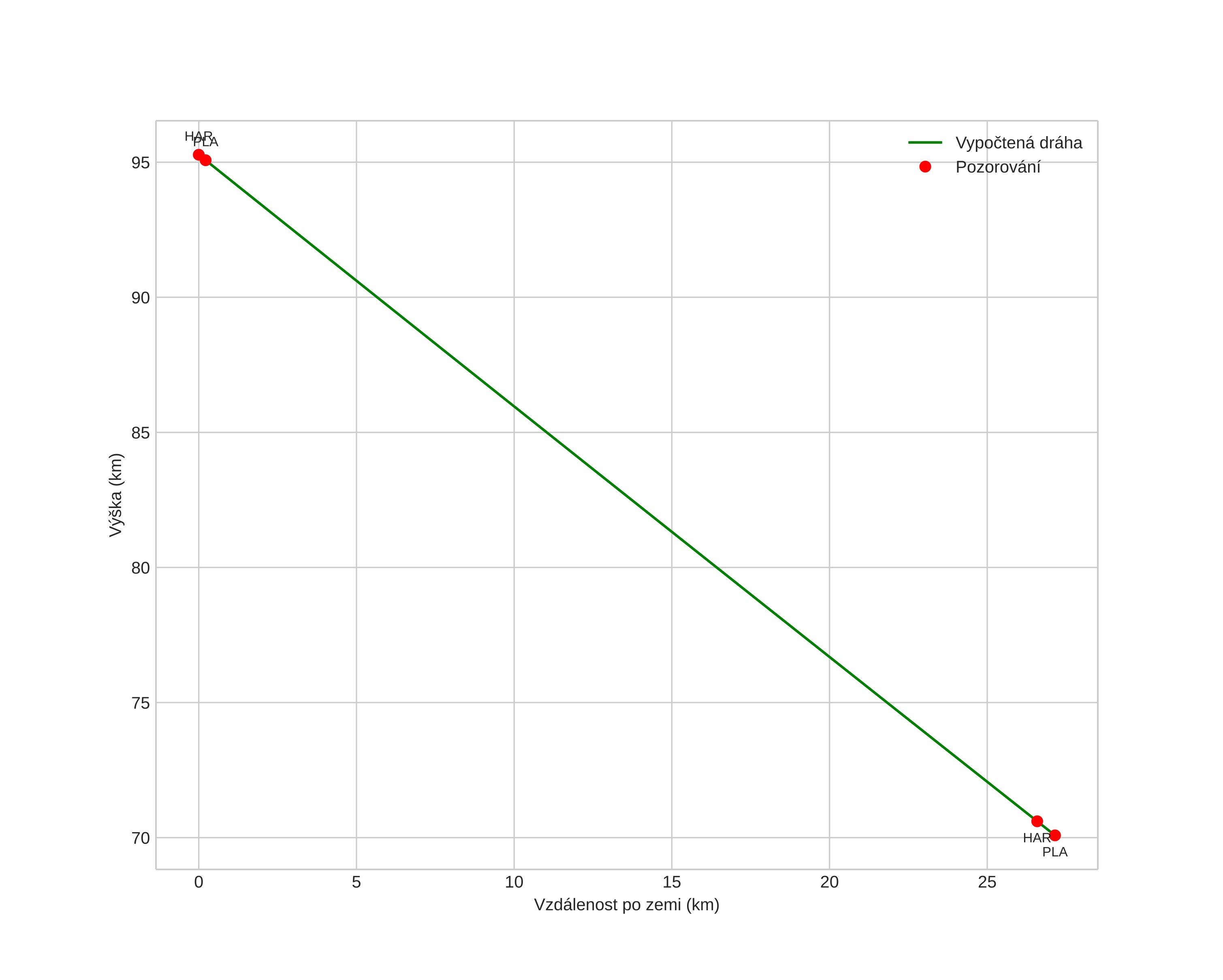
height profile
Atmosférická dráha meteoru:
Počáteční výška: 95,6 km
Konečná výška: 69,3 km
Počáteční poloha: 61,550N 9,457E
Konečná poloha: 61,789N 9,648E
Směr: 20,7°
Sklon: 42,9°
VstupnĂ­ rychlost: 29,3 km/s
Rektascenze radiantu: 03:24 (51,1°)
Deklinace radiantu: 13,7°
MeteorickĂ˝ roj: JiĹľnĂ­ Tauridy
Elementy dráhy meteoroidu:
Vzdálenost v periheliu: 0,387 AU
Excentricita: 0,817
Sklon dráhy: 5,2°
Délka vzestupného uzlu: 41,8°
Argument perihelia: 110,8°
Střední anomálie: 346,1°
Epocha: 2024 NOV 04 00:58:56
orbit plot

NeinteraktivnĂ­ graf | InteraktivnĂ­ graf

position vs time
speed and acceleration

Plassen (PLA) cam5

gnomonic
Videa
Obrázky
• Původní
Textové soubory
• Detekce
• Pozorování
• Souřadnice
• Protokol
Jasnost